彼得的自由國度
avatar-avatar
彼得
發佈於教育考試
更新 發佈閱讀 2 分鐘
src
src

今天是立夏,現外頭艷陽高照。

週六,新勢力有小四數學、國三數學(複習,團班),以及董緯老師的高一數學。

目前,小四數學班有新市、南科兩個學校,意思就是有兩個不同版本,偏偏他們又是國小108課綱的第一屆;南一還好,康軒就改得有些誇張,去年的講義、教科書,基本沒什麼參考的價值了。

每回教到【等值分數】裡的【小數、分數互換】,總有一種錯位時空的感覺。雖然,把分母換成10、100、1000,再去做切換;這樣的教法,已行之有年;但這做法是有盲點的。個人甚至認為有點多此一舉。

這個階段的孩子,尚未學過擴分、約分、通分,也還不曉得什麼叫做「最簡分數」;只知道死背「分子、分母同乘以或同除以一個不為0的數,其值不變」;很容易一遇到題目就卡關。

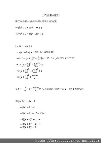
國三數學有個「二次函數」的單元,可其中的二次函數用的是標準式,而非二年級學到的一般式。

一般式轉換成標準式,可用「配方法」。有沒有覺得很熟悉?對,在二年級的「一元二次方程式」中有介紹過。

108課綱把「二次函數」單元中的【利用配方法將一般式轉換成標準式】拿掉;好,那問題來了:要嘛,就限制考試題目不要出成一般式;萬一出現,請問:有多少學生還記得配方法怎麼用?最後,再請學生用「一元二次方程式」中教的「配方法」【將一般式轉換成標準式】,看成功機率有多大?

底下是「二次函數」的補充資料;有需要的同學,就參考看看吧?!

剛得知高三的◯宣,透過繁星推薦,錄取【銘傳大學──人工智慧應用學系(桃園校區)】。

人工智慧耶,很熱門的科系,未來前途可期。

◯宣同學,從高一就開始在新勢力補習;高一補數學、物化,高二~高三則是數學、英文。

謝謝耀寬、信安、恆真、慧宇等幾位老師的指導,也恭喜◯宣同學。

2023.05.06 於新勢力家教班


甯隨-avatar-img
甯隨和其他 8 人喜歡這篇
avatar-img
加入討論
avatar-avatar
彼得
發佈於教育考試
更新 發佈閱讀 2 分鐘
src
src

今天是立夏,現外頭艷陽高照。

週六,新勢力有小四數學、國三數學(複習,團班),以及董緯老師的高一數學。

目前,小四數學班有新市、南科兩個學校,意思就是有兩個不同版本,偏偏他們又是國小108課綱的第一屆;南一還好,康軒就改得有些誇張,去年的講義、教科書,基本沒什麼參考的價值了。

每回教到【等值分數】裡的【小數、分數互換】,總有一種錯位時空的感覺。雖然,把分母換成10、100、1000,再去做切換;這樣的教法,已行之有年;但這做法是有盲點的。個人甚至認為有點多此一舉。

這個階段的孩子,尚未學過擴分、約分、通分,也還不曉得什麼叫做「最簡分數」;只知道死背「分子、分母同乘以或同除以一個不為0的數,其值不變」;很容易一遇到題目就卡關。

國三數學有個「二次函數」的單元,可其中的二次函數用的是標準式,而非二年級學到的一般式。

一般式轉換成標準式,可用「配方法」。有沒有覺得很熟悉?對,在二年級的「一元二次方程式」中有介紹過。

108課綱把「二次函數」單元中的【利用配方法將一般式轉換成標準式】拿掉;好,那問題來了:要嘛,就限制考試題目不要出成一般式;萬一出現,請問:有多少學生還記得配方法怎麼用?最後,再請學生用「一元二次方程式」中教的「配方法」【將一般式轉換成標準式】,看成功機率有多大?

底下是「二次函數」的補充資料;有需要的同學,就參考看看吧?!

剛得知高三的◯宣,透過繁星推薦,錄取【銘傳大學──人工智慧應用學系(桃園校區)】。

人工智慧耶,很熱門的科系,未來前途可期。

◯宣同學,從高一就開始在新勢力補習;高一補數學、物化,高二~高三則是數學、英文。

謝謝耀寬、信安、恆真、慧宇等幾位老師的指導,也恭喜◯宣同學。

2023.05.06 於新勢力家教班


甯隨-avatar-img
甯隨和其他 8 人喜歡這篇
avatar-img
加入討論