級數
含有「級數」共 8 篇內容
全部內容
發佈日期由新至舊
WilliamP的沙龍
2025/08/08
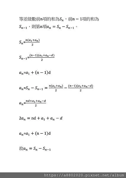
已知級數公式求某項(一)
高中數學主題練習—已知級數公式求某項
#
高中
#
數學
#
高中數學
喜歡
留言
WilliamP的沙龍
2025/08/08
分式和級數計算(一)
高中數學主題練習—分式和級數計算
#
高中
#
數學
#
高中數學
喜歡
留言
自由台~free channel
2025/02/24
尋找Michael Jackson(45)
人
#
MichaelJackson
#
米高積遜
#
麥可傑克森
喜歡
留言
WilliamP的沙龍
2024/04/07
立方和級數計算(一)
高中數學主題練習—求立方和級數
#
高中
#
數學
#
高中數學
1
留言
WilliamP的沙龍
2024/03/22
平方和級數計算(一)
高中數學主題練習—求平方和級數
#
高中
#
數學
#
高中數學
4
留言
WilliamP的沙龍
2024/03/22
等比數列與級數(一)
高中數學主題練習—求等比數列某項與等差級數
#
高中
#
數學
#
高中數學
2
留言
WilliamP的沙龍
2024/03/22
等差數列與級數(一)
高中數學主題練習—求等差數列某項與等差級數
#
高中
#
數學
#
高中數學
2
留言
彼得的自由國度
2024/02/18
數列與級數
...顯示更多
#
國中
#
數學
#
數列
7
2
心裡住著小男孩
2024/02/18
2
2
彼得
發文者
2024/02/18
1
1