Using Models to Estimate the Reasonable Ranges for Upswings and Downswings

This article is simultaneously published on Medium
The Chapter 1~4 section of this article is public content. Chapter 5~7 is the paid section will introduce how I strategically position myself in Bitcoin and my insights on its future development. It includes an in-depth analysis of Bitcoin's core characteristics, its evolution, data interpretation, mining cost calculations, estimated price fluctuation targets, and my personal Bitcoin strategy.
For more detailed content, feel free to purchase the full article.
How to purchase the article
1. VOCUS purchase link: Link
2. Google Drive online version(200U)
- USDT transfers only
- After transferring, email ch.knackofmatters@gmail.com with transfer details
- Upon confirmation, you'll receive access to the online PDF version
- No viewing expiration; the article will be updated in the PDF as new information is added
3. Bitcoin mining cost calculation Excel sheet(50U)
- USDT transfers only
- After transferring, email ch.knackofmatters@gmail.com with transfer details
- Upon confirmation, the Excel sheet will be sent to you

Pre-Summary
Bitcoin, much like gold, is a scarce asset. As fiat currencies lose their purchasing power, Bitcoin’s value will continue to rise. It's especially useful for hedging against inflation and as an appreciating asset. As a decentralized digital currency, Bitcoin is not only an emerging asset but also a part of the future of payments. As global consensus strengthens and more people recognize its potential, Bitcoin will play a bigger role in value storage and payment systems. For those who are still unsure, now is the perfect time to understand and embrace this asset. Don’t miss this opportunity that could reshape the future of your finances.
Contents
Chapter0 - Introduction
Chapter 1 - The Rise of Bitcoin: History Repeats Itself
Chapter 2 - Bitcoin's Nature: A Scarce, Anti-Inflation Asset
Chapter 2-1 - The Core Features of Bitcoin
Chapter 2-2 - The Blockchain Features of Bitcoin
Chapter 3 - The Accounting Principles of Bitcoin Mining
Chapter 3-1 - Bitcoin's Structure and Rules
Chapter 3-2 - The Evolution of Bitcoin Mining
Chapter 3-3 - Analyzing Global Mining Data Through Bitcoin Explorer
Chapter 4 - Comparative Analysis of Bitcoin and Various Assets
Chapter 4-1 - Bitcoin vs. Gold
Chapter 4-2 - Bitcoin Spot V.S. Bitcoin ETF
Chapter 4-3 - Institutional and Corporate Adoption of Bitcoin
Chapter 4-4 - My Views and Usage of Bitcoin Assets
(Paid)Chapter 5 - BTC Cycles and Price Range Estimations
(Paid)Chapter 6 - Thoughts on BTC’s Future Development
(Paid)Chapter 7 - Conclusion
Notes
References
Article Statement
Disclaimer
Chapter0 - Introduction
The 2008 financial crisis triggered massive global economic turmoil. In response to the crisis, many countries printed large amounts of money to stabilize their economies, which indirectly contributed to the birth of Bitcoin. Today, fiat currency credit systems are built on debt, but excessive borrowing has caused global economies to be heavily burdened by debt, heightening financial risks. Unrestrained money printing has led to asset price inflation, further widening the wealth gap. In some countries, economic fragility and excessive money printing have triggered hyperinflation, rapidly eroding people's wealth. Against this backdrop, I gradually became aware of the loss of purchasing power in fiat currencies, which is evident in rising prices and shrinking product sizes in daily life. Reflecting on the surge in asset prices since 2008, it's clear that failing to invest effectively early on only deepens the wealth gap.
In this context, Bitcoin has emerged as a new hedge asset and store of value due to its scarcity, global acceptance, and decentralized nature. I chose Bitcoin precisely because of its limited supply and halving mechanism, which ensures that its scarcity will continue to drive long-term value growth.
Although many countries have begun pushing for digital fiat currencies, ostensibly to enhance the convenience of electronic payments, in some authoritarian regimes, digital fiat currencies could become tools for governments to monitor and control their citizens. In contrast, Bitcoin's decentralization, immutability, and anonymity may offer the best solution for safeguarding individual financial freedom. Of course, Bitcoin's rise has not been without challenges—it has faced power struggles between traditional and new financial systems, along with numerous significant events that have shaped its journey. Bitcoin has gradually proven its value as a scarce asset, making it essential for long-term investors to understand its core characteristics and future development trends.
Next, I will comprehensively explore Bitcoin's development trajectory and future potential from various perspectives, including its historical background, intrinsic qualities, mining principles, asset attributes, and the comparison of price movement points during bull and bear cycles. Understanding these factors will help investors better grasp Bitcoin's long-term value and make more informed investment decisions in future markets.
Chapter 1 - The Rise of Bitcoin: History Repeats Itself
In 2008, the global financial system faced an unprecedented crisis, originating from the U.S. subprime mortgage market. Large numbers of people with unstable incomes could easily own multiple properties, leading to the collapse of the real estate market as subprime borrowers defaulted en masse. This caused a chain reaction in financial institutions. Two Wall Street giants—Bear Stearns and Lehman Brothers—faced severe liquidity crises. When Lehman Brothers declared bankruptcy, a domino effect ensued, throwing the entire financial market into panic. Interbank credit markets froze, stock markets plummeted, and the economy entered a recession. The crisis wiped out the wealth of countless American families, millions lost their jobs and homes, and economic uncertainty soared. The ripple effect spread across Europe, Canada, Asia, and other regions, leading to a global financial crisis.
As the 17th largest financial institution and the fifth-largest investment bank in the U.S., Bear Stearns was twice the size of the average U.S. financial company. Bear Stearns had approximately 5,000 trading partners, including banks, securities firms, hedge funds, pension funds, governments, and corporations, with 750,000 open derivative contracts. When the subprime crisis erupted, Bear Stearns’ balance sheet quickly deteriorated, causing a sharp decline in market confidence. Panic led to an unprecedented bank run. Within four days, reserves shrank from $18 billion to $2 billion, as investors and clients withdrew their funds. The liquidity crisis worsened, ultimately prompting the Federal Reserve to intervene and assist JPMorgan Chase in acquiring Bear Stearns at a symbolic price, preventing the bankruptcy from causing a larger market shock.
The panic triggered by Bear Stearns had not yet subsided when Lehman Brothers faced its own crisis on September 14, 2008. As the fourth-largest investment bank in the U.S., Lehman Brothers was similarly trapped in the subprime mire. By September 2008, Lehman Brothers ran out of cash and could not pay its debts, ultimately filing for bankruptcy protection. This reignited public panic, with concerns about further bank collapses. The U.S. government chose not to rescue Lehman Brothers, which escalated fears and led to more bank runs, deepening the financial crisis globally, as shown in Figure 1-1.

Figure 1-1, The Collapse of Lehman Brothers
After Lehman Brothers collapsed, American International Group (AIG) also faced financial difficulties on September 16, 2008. A downgrade in credit ratings and a bank run left AIG with severe liquidity issues. This prompted the Federal Reserve to announce an $85 billion emergency loan to prevent the company from going under due to a lack of liquidity, as shown in Figure 1-2.

Figure 1-2, AIG’s Liquidity Crisis (Source: Chart of the Decade: AIG and the Lesson of the Long View)
On September 19, 2008, the U.S. government implemented a series of emergency measures to stabilize financial markets. Key actions included large-scale fiscal stimulus, Fed interest rate cuts, and quantitative easing (QE) policies. These measures were essentially large-scale money printing to ensure ample liquidity in the markets. The U.S. government deemed certain large financial institutions "Too Big to Fail"—believing their collapse would wreak havoc on the entire economy. Thus, the government chose to bail out these institutions, injecting massive funds to keep them afloat. While these measures stabilized the markets, they also drastically increased the money supply, diluting the purchasing power of ordinary people, while financial institutions and Wall Street giants survived the crisis, as illustrated in Figure 1-3.

Figure 1-3, U.S. Money Supply: Currency Issued by Central Government
Amid global panic, despair, unemployment, and high pressure, on October 31, 2008, a mysterious figure under the pseudonym Satoshi Nakamoto published a white paper titled Bitcoin: A Peer-to-Peer Electronic Cash System, giving birth to the concept of Bitcoin (BTC). Bitcoin was seen as a revolution against the traditional financial system, proposing a peer-to-peer electronic cash system. Its core idea was to create a decentralized, transparent, immutable ledger without the need for trusted intermediaries, and with a fixed supply of Bitcoin, preventing the inflationary abuse of monetary power by central financial institutions. One of its most revolutionary aspects was transferring the power of money issuance from central governments to individuals; those who helped maintain the Bitcoin network could earn Bitcoin as a reward.
The Bitcoin Network was launched on January 3, 2009, when Satoshi Nakamoto mined the first Bitcoin block, known as the Genesis Block or Block 0. In this block, Satoshi left a note reading, "The Times 3 January 2009 Chancellor on brink of second bailout for banks," referencing the day’s Times headline, reflecting the severity of the financial crisis and the government’s intervention. This note is highly symbolic, often interpreted as expressing distrust in the traditional financial system and emphasizing the philosophy behind Bitcoin, as shown in Figure 1-4.

Figure 1-4, Bitcoin Genesis Block Information (Source: The New and Renewed Bitcoin Narrative)
In 2020, the global economy faced another significant challenge. The COVID-19 pandemic, which began in late 2019 in China, rapidly spread worldwide. Governments implemented travel restrictions, lockdowns, and other measures to curb the virus, as shown in Figure 1-5, leading to a sharp decline in global economic activity. Businesses ground to a halt, unemployment surged, and market confidence was shaken, creating an unprecedented economic shock.
In response to this crisis, the Federal Reserve launched a series of fiscal stimulus policies to stabilize financial markets, ensure liquidity for businesses, and provide emergency assistance to households to prevent a deeper economic crisis.
- On March 3, 2020, the Fed cut interest rates by 50 basis points, lowering the federal funds rate to 1.00%–1.25%.
- On March 15, 2020, the Fed cut interest rates again by 100 basis points to 0.0%–0.25%, while announcing a $700 billion quantitative easing plan.
- On March 17, 2020, the Fed established the Commercial Paper Funding Facility (CPFF) and Money Market Mutual Fund Liquidity Facility (MMLF) to support short-term financing markets.
- On March 23, 2020, the Fed announced unlimited quantitative easing, expanding the purchase of government bonds and mortgage-backed securities from $700 billion to an unlimited amount.
- On March 27, 2020, the U.S. government signed the CARES Act, approving $2.3 trillion in relief funds, including direct payments, unemployment relief, and small business loans.
- On April 9, 2020, the Fed announced a new $700 billion economic support plan, expanding corporate bond purchases to support credit markets.
- On April 24, 2020, the U.S. government signed the Paycheck Protection Program and Health Care Enhancement Act, providing an additional $484 billion for small business loans, medical support, and virus testing.
- On December 21, 2020, Congress passed a $900 billion economic stimulus package, which included $600 direct payments, additional unemployment relief, and small business assistance.
Given the painful lessons of the 2008 financial crisis, the U.S. government and the Federal Reserve acted swiftly with strong fiscal stimulus policies to stabilize the financial markets and maintain liquidity during the pandemic. However, this massive influx of aid further expanded the money supply (US$15.5Tn to US$19.1Tn), exacerbating concerns about inflation, as shown in Figure 1-6.

Figure 1-6, U.S. M2 Money Supply
During the pandemic in 2020, Bitcoin underwent its third halving event on May 11, reducing block rewards from 12.5 BTC to 6.25 BTC. The significance of this halving was heightened by the concurrent global economic downturn caused by COVID-19. That year, the U.S. government and the Federal Reserve injected approximately $3.7 trillion to stabilize the market. The intent was to keep the economy running, but the measures resembled those taken during the 2008 financial crisis. Ultimately, the global economy was rescued, but some bore the cost of these interventions. In the block mined during the May 11 halving, a note was inscribed: "With $2.3 Trillion Injection, Fed’s Plan Far Exceeds Its 2008 Rescue," referencing the New York Times headline from that day, as shown in Figure 1-7. This striking parallel to history underscores Bitcoin’s core value as an inflation-resistant, hedge asset and store of value.

Figure 1-7, Bitcoin’s Third Halving Block Information
Chapter 2 - Bitcoin's Nature: A Scarce, Anti-Inflation Asset
Chapter 2-1 - The Core Features of Bitcoin
This chapter introduces the intrinsic value and characteristics of Bitcoin (BTC), providing an understanding of its long-term value. The essence of Bitcoin lies in its role as a digital asset, with core features such as value preservation, anti-inflation, scarcity, necessity, autonomy, and hedging, as shown in Figure 2-1.

Figure 2-1, Key Features of Bitcoin
● Store of Value
Bitcoin's value preservation stems from its fixed supply of 21 million coins, which prevents arbitrary increases in supply like fiat currencies, protecting it from inflation. After each halving event, the supply decreases, and by 2032, the total supply will reach 99%. Over the next hundred years, the remaining 1% will be distributed. As of 2024, the released Bitcoin is mostly concentrated in the hands of large holders (whales) and rarely circulates in the market. When public demand for Bitcoin increases and the available supply from mining and circulation is insufficient, Bitcoin's value rises, creating an anti-inflationary store of value. This explains why Bitcoin is considered "digital gold," effectively preserving value as a hedge against currency devaluation and economic uncertainty, as shown in Figure 2-2.

Figure 2-2, Bitcoin Supply Curve
● Deflation
Fiat currencies (e.g., USD, EUR, TWD, etc.) experience inflation [Note. 1] driven by factors like demand-pull, cost-push, and increases in the money supply (built-in inflation). Demand-pull and cost-push inflation tend to be short-term and localized, but increases in the money supply create sustained, systemic effects, leading to widespread price increases for goods and services. Central banks' continuous expansion of the money supply exacerbates inflation, making it difficult to reverse. This long-term inflationary pressure affects economic growth, investment decisions, and consumer behavior. This was a key factor after the 2008 financial crisis when the U.S. introduced quantitative easing and low-interest-rate policies, leading to a flood of currency and driving up prices for goods (food, clothing, housing, transportation, education, entertainment) and assets (real estate, stocks, precious metals, luxury goods, Bitcoin). As shown in Figure 2-3, the purchasing power of $100 has been diluted by about 97.51% from 1913 to 2023, driven by a 702-fold increase in money supply from 1913 to 2013 (red dotted line). From 2013 to 2018, the supply increased by 29.2 times, and from 2013 to 2023, it increased by 42.3 times.
Bitcoin's fixed supply of 21 million coins and its halving mechanism reduce the issuance of new Bitcoin every four years, making the circulating supply increasingly scarce. This results in a declining inflation rate and enhances Bitcoin's anti-inflationary properties. Meanwhile, the over-issuance of fiat currencies highlights Bitcoin’s anti-inflation nature even more. As shown in Figure 2-4, the purchasing power of $1 in fiat currency continues to decrease, while the purchasing power of 1 BTC increases over time. This trend is particularly evident when comparing the cost of buying an iPhone with Bitcoin, as shown in Figure 2-5.

Figure 2-3, U.S. Dollar Purchasing Power Trend

Figure 2-4, Inflation of Fiat Currency vs. Anti-Inflation of Bitcoin

Figure 2-5, Purchasing Power of Bitcoin Compared to iPhone Prices
● Scarcity
The old saying, "Scarcity creates value," explains why rare items—whether due to limited supply, age, craftsmanship, or fame—are highly valued. This holds true for luxury cars, watches, brand-name products, precious metals, antiques, and limited-edition items. Like gold, Bitcoin’s limited supply drives up its value, especially in times of explosive demand growth. Bitcoin is mined through block rewards, and with every four-year halving, its supply tightens. By 2020, 90% of Bitcoin had already been mined, with much of it being hoarded and not circulating in the market. As Bitcoin’s production and circulation diminish, its scarcity pushes up the price, which in turn increases its value, creating a virtuous cycle. This scarcity is one of the main reasons why Bitcoin attracts long-term investors.
● Rigid Demand
A commodity must fulfill a rigid demand to drive its use as a medium of exchange. For example, real estate fulfills the rigid demand for "housing and security," prompting people to buy or rent properties. The same concept applies to Bitcoin. Initially, Bitcoin fulfilled four rigid demands: smuggling, money laundering, drug trafficking, and collecting. Bitcoin's decentralized and anonymous nature created strong demand for anonymous transactions. Nowadays, Bitcoin’s usage has evolved, and future rigid demands may include payments, legal tender, foreign exchange reserves, value preservation, asset proof, and hedging.
The rigid demand for Bitcoin continues to drive its value. With the application of blockchain technology and the expansion of the cryptocurrency market, Bitcoin’s use cases are becoming more diverse. Whether for international remittances, cross-border payments, or as an investment tool for digital assets, Bitcoin shows strong demand. This sustained market demand further solidifies its value.
● Autonomy
Bitcoin's autonomy is a key feature that sets it apart from traditional fiat currencies. Fiat currencies derive their value from the credit of the issuing nation and are geographically restricted—for example, the euro can only be used in Europe, and the Australian dollar only in Australia. The value of these currencies relies on the economic and political stability of the respective countries. When political turmoil or economic crises occur, these currencies can quickly devalue or even become worthless. Some nations have abandoned large amounts of bad debt and replaced old currencies with new ones, as seen in Figure 2-6 during the hyperinflation in Germany in 1923, Figure 2-7 with Taiwan's 1949 currency reform (where 40,000 old Taiwan dollars were exchanged for 1 new Taiwan dollar), and the Gold Yuan Crisis in Shanghai in 1948, as well as the hyperinflation in Shanghai during the same period (video link). Numerous countries have experienced hyperinflation, as shown in Figure 2-8. These monetary issues usually stem from political instability, economic collapse, policy failures, or war.
When a country faces political instability, an economic crisis, or a banking collapse, the banking system is often the first to feel the pressure of mass withdrawals, creating a domino effect across financial institutions. Banks often respond by imposing withdrawal limits or declaring debts unrecoverable, leading to people's wealth being restricted or even lost, as shown in Figure 2-9.
The emergence of Bitcoin marks the first time in human history that individuals have the opportunity to fully control the power of "minting Bitcoin." People now have full control over their private wealth without interference from any government or institution, and Bitcoin's value is based on global consensus. Anyone, anywhere in the world, can use Bitcoin to purchase goods or services. This decentralized nature makes Bitcoin a global currency that surpasses the limitations of traditional fiat currencies. Bitcoin's autonomy is also evident in its censorship resistance. Since Bitcoin transactions occur peer-to-peer without intermediaries, no government or institution can easily block or control them. This is particularly important for people living in economically unstable regions or those affected by financial sanctions, as Bitcoin allows them to bypass traditional financial systems and independently manage and use their wealth.
Following Bitcoin’s introduction of “monetary sovereignty,” various blockchain projects began to emerge across different sectors. These projects issued their own cryptocurrencies (Coins) or digital tokens (Tokens) to support their ecosystems. Some of these projects aim to address current industry pain points, others engage in disruptive innovation, create new applications, or are simply focused on profiting from the market. The development in this space is incredibly diverse.
![Figure 2-6, 1923 German Hyperinflation (Source:[歷史照片]1923 年德國超級通脹︰2000 億馬克買一個麵包的時代)](https://img.vocus.cc/vaxYCnaCHcJf1KQRI6IUOE53y6axda0bSLfpaeGCNzg/w:479/f:webp/plain/https://images.vocus.cc/51d7069f-a7d7-49f6-bab4-69f12f4ac45e.jpg)
Figure 2-6, 1923 German Hyperinflation (Source:[歷史照片]1923 年德國超級通脹︰2000 億馬克買一個麵包的時代)

Figure 2-7, Taiwan’s 1949 Currency Reform

Figure 2-8, Countries Where Fiat Currency Systems Have Collapsed (1900-Present)

Figure 2-9, Global News on Bank Runs
● Hedge
Bitcoin’s hedging nature can be divided into two key aspects: protecting against asset devaluation and serving as a recognized medium of exchange during times of turmoil.
When economic problems arise, countries often respond with quantitative easing, which increases the money supply and dilutes the purchasing power of fiat currency. As an anti-inflation asset, Bitcoin preserves value. By including Bitcoin in a diversified investment portfolio, investors can hedge against the devaluation of fiat currencies and increase the stability of their asset allocation.
Another hedging feature is Bitcoin’s role as a “recognized medium of exchange in times of turmoil,” although we hope the world never sees the day when this is necessary. Imagine a situation where global political or economic instability occurs, or worse, war breaks out. In such cases, the only widely accepted forms of payment may be the U.S. dollar, gold, and Bitcoin. If one must flee, standing in line at a bank or ATM to withdraw cash would be too late—banks may even limit withdrawals. Carrying gold would also be problematic, as you would need to exchange it for currency, and traveling with heavy gold would be impractical. On the other hand, carrying Bitcoin requires only a cold wallet stored on any device, allowing for rapid mobility. As long as the recipient accepts Bitcoin, essential goods or services can be purchased quickly.
Another hedging feature is Bitcoin’s role as a “recognized medium of exchange in times of turmoil,” although we hope the world never sees the day when this is necessary. Imagine a situation where global political or economic instability occurs, or worse, war breaks out. In such cases, the only widely accepted forms of payment may be the U.S. dollar, gold, and Bitcoin. If one must flee, standing in line at a bank or ATM to withdraw cash would be too late—banks may even limit withdrawals. Carrying gold would also be problematic, as you would need to exchange it for currency, and traveling with heavy gold would be impractical. On the other hand, carrying Bitcoin requires only a cold wallet stored on any device, allowing for rapid mobility. As long as the recipient accepts Bitcoin, essential goods or services can be purchased quickly.
This scenario has already occurred. In 2022, a Ukrainian refugee named Fadey converted his savings into Bitcoin and exchanged $600 worth of Bitcoin for Polish currency to pay for bus tickets, accommodation, and food as he fled to Poland. The rest of his savings were stored in a USB cold wallet, as shown in Figure 2-10.
Chapter 2-2 - The Blockchain Features of Bitcoin
As the first blockchain project, Bitcoin’s unique features have provided significant inspiration for the development of blockchain technology. These features include decentralization, security, anonymity, transparency, traceability, and immutability.

● Decentralization
One of Bitcoin's core features. Traditional currency systems rely on central banks and financial institutions to issue currency and maintain transaction records, with the central bank acting as a centralized authority during financial transactions, as shown in Figure 2-11. In contrast, Bitcoin uses peer-to-peer (P2P) technology to eliminate centralized control. Transactions are processed and recorded by numerous (miner) nodes, which then broadcast the updated ledger to all nodes, as shown in Figure 2-12. The decentralized nature of Bitcoin enhances its security, as its blockchain copies are distributed across many nodes worldwide. For an attacker to control the network, they would need to control over 51% of the total computing power—a feat that becomes nearly impossible as the network grows. Thus, Bitcoin is considered a highly secure digital currency system.

Figure 2-11, Processing Flow of Fiat Currency Transactions

Figure 2-12, Processing Flow of Cryptocurrency Transactions
● Security
Bitcoin’s security relies on its underlying encryption technology (SHA-256) and its Consensus Protocols (Proof of Work, PoW) [Note. 2] to ensure privacy and security. Bitcoin transactions are secured by these technologies, ensuring the legitimacy and irreversibility of each transaction. Each Bitcoin address is generated using a public and private key pair, and only the person holding the private key [Note. 3] can access and manage the funds, ensuring user asset safety.
Bitcoin uses SHA-256 (Secure Hash Algorithm 256-bit) as a one-way cryptographic hash function. SHA-256 converts data of any length into a fixed 256-bit (32-byte) hash value. Even minor changes in the input data will produce a completely different hash value, making the system highly secure and irreversible.
In addition to encryption technology, Bitcoin’s network is supported by the PoW Consensus Protocols, which involves solving complex mathematical problems to secure the right to record transactions. This process requires significant computational resources and energy, making network attacks difficult and costly, while preventing fraud, such as double-spending.
● Anonymity
Anonymity is one of the most attractive features for Bitcoin users. Although transaction records are publicly available on the blockchain, the identities of the parties involved are not revealed. Bitcoin addresses are anonymous, keeping transactions private. This anonymity was one of the reasons Bitcoin was initially popular on dark web marketplaces for illegal activities such as smuggling and money laundering.
However, with the development of blockchain analytics, Bitcoin's anonymity is not absolute. Transactions can still be traced, especially when Bitcoin is converted into fiat currency at exchanges, which enforce KYC (Know Your Customer) regulations. Governments and regulatory agencies are working to strike a balance between protecting user privacy and preventing illegal activities.
● Transparency and Tracking
Bitcoin’s blockchain network is completely transparent. Anyone can view detailed information about each block on blockchain explorer websites, as shown in Figure 2-13. Each block contains transaction details, including block hash, height, transaction fees, and the miner who secured the block. The transactions conducted within a 10-minute block are also available for review. For instance, by inspecting the address 14dJR…piXyn, one can see how many bitcoins it holds, its transaction history, and the addresses of bitcoin senders and recipients. This transparency allows anyone to trace transaction history down to the smallest details.

Figure 2-13, Bitcoin Blockchain Information
● Immutability
One of the major advantages of Bitcoin’s blockchain technology. Each block in the chain contains the hash of the previous block, making it extremely difficult to alter any past transactions. To modify a transaction in one block, the attacker would need to recalculate the hash for that block and all subsequent blocks, and then gain control of more than 51% of the decentralized network to have the changes accepted.
Bitcoin’s immutability relies on the 51% attack rule and the prevention of double-spending attacks. A 51% attack occurs when an attacker gains control of more than 51% of the network’s computing power, enabling them to alter transaction history or halt new transactions. A double-spending attack occurs when an individual attempts to spend the same digital currency twice. However, in reality, coordinating such an attack is nearly impossible, making Bitcoin’s blockchain a highly secure and tamper-resistant ledger.
Chapter 3 - The Accounting Principles of Bitcoin Mining
This chapter provides an in-depth look into the structure and rules of Bitcoin, followed by a comparison between gold mining and Bitcoin mining, and an analysis of their historical development. It concludes with a discussion on Bitcoin Explorer, offering insights into the global mining dynamics of the Bitcoin network.
Chapter 3-1 - Bitcoin's Structure and Rules
The Bitcoin network is a decentralized system composed of multiple layers, with operational mechanisms that differ significantly from traditional financial systems. The key components of this network include:
1. Basic Bitcoin Rules: At the time of creation, the total supply of Bitcoin was capped at 21 million coins, and each BTC can be divided into eight decimal places (0.000 000 01 BTC), with the smallest unit known as "Satoshi." Each block is generated approximately every 10 minutes, but this time is dynamically adjusted every two weeks based on the global network difficulty. Mining nodes compete for the right to record transactions and receive block rewards, as shown in Figure 3-1. Block rewards are halved every 210,000 blocks, starting from 50 BTC and continuing to halve until 0 BTC is eventually mined in 2140.

Figure 3-1, Bitcoin Difficulty Adjustment Information
2. Mining Equipment (Nodes): The Bitcoin network relies on globally distributed nodes, which are computing devices (miners) running Bitcoin software. These nodes participate in finding the nonce, verifying transactions, and receiving block rewards. The computing devices have evolved from early personal CPU computers, to GPU setups, FPGA (Field-Programmable Gate Array) devices, and finally, specialized ASIC (Application-Specific Integrated Circuit) miners, constantly increasing computational power (hash rate).
3. Blockchain and Proof of Work (PoW): The Bitcoin blockchain continuously generates new blocks to record transactions. Each block links to the previous one, forming a chain. New blocks are created when nodes (miners) solve complex mathematical problems by finding a nonce that satisfies specific hash conditions, then broadcasting it to the network for validation by other nodes. Once validated, the new block and its transactions are added to the blockchain, and the miner who solved the problem is rewarded. This process is known as Proof of Work (PoW).
A simple analogy is a classroom full of students working on a math problem. One student suddenly shouts, "I solved it!" and the others verify the solution. If correct, everyone celebrates, and the student receives a reward, as shown in Figure 3-2.

Figure 3-2, Visualization of Solving Nonce in Blockchain
4. Halving: When a miner wins the right to record transactions and validates a block, they receive block rewards, and a new block is generated. Every time 210,000 blocks are produced, the block reward is halved, starting from 50 BTC, then 25 BTC, 12.5 BTC, 6.25 BTC, and eventually down to 0 BTC. This process is known as "Halving."
5. Distributed Ledger: Bitcoin's blockchain is a decentralized public ledger that records all Bitcoin transactions. Every node maintains a complete copy of the blockchain, ensuring consistency and immutability through Consensus Protocols.
6. Application Layer: This layer enables user interaction with the Bitcoin network through wallets, exchanges, and payment platforms. Users can send and receive Bitcoin for everyday transactions using these applications.
For a better understanding of the entire structure, refer to Figure 3-3. Bitcoin addresses enable borderless transfers, with transactions handled by underlying nodes (miners). Over time, the Bitcoin network has expanded, attracting more contributors (miners) and investors, with mining hardware showing significant improvements in computing power.

Figure 3-3, Diagram of Bitcoin Blockchain Network Structure
Chapter 3-2 - The Evolution of Bitcoin Mining
The discovery of gold in California in 1848 triggered a massive gold rush, attracting locals and foreign immigrants. Mining techniques evolved over time to increase efficiency, giving rise to industries like Levi Strauss & Co., Eagle Manufacturing Company, Wells Fargo & Company, and many others, as shown in Figure 3-4. The development of Bitcoin mining can be compared to the historical framework of the Gold Rush.
As shown in Figure 3-5, Bitcoin mining technology has evolved significantly. In the early days, miners used CPUs to find the nonce, with hash rate around 450H/s [Note. 4]. In 2010, miners switched to GPUs, increasing hash rate to 25MH/s. By 2011, FPGA technology further boosted hash rate to 1.5 GH/s. However, the introduction of ASIC miners by Bitmain in 2013, starting with the Antminer S1 (180 GH/s), dramatically increased mining efficiency, with a 530x difference in computing power compared to FPGA. This marked the rapid expansion of the Bitcoin mining industry.
With the rise of ASIC miners, large-scale mining farms began to emerge, creating clusters of mining hardware known as "farms." When multiple miners pool their resources, it forms a "mining pool." China's first Bitcoin mining pool, F2Pool, was established in April 2013, followed by Bitmain's AntPool in 2014. Other notable mining pools include ViaBTC, Foundry USA, Binance Pool, and SpiderPool.
From 2013 onward, Bitcoin mining evolved into a mix of individual and enterprise participation. However, with each halving event and changes in national policies, low-efficiency, high-cost, and illegal mining operations were gradually phased out, leading to an increasingly professional, competitive, and integrated industry. By 2020, after the halving, the mining industry had consolidated into a space dominated by large mining companies with significant capital, high efficiency, and low costs, as shown in Figure 3-6. From my own mining experience between 2016 and 2020, I noticed a shift from individual miners to collaborative mining alliances. Individual computing resources were added to mining pools, where rewards were distributed according to contributed hash rate.
In 2020, Chinese miners contributed over 71% of the global hash rate, thanks to low costs and loose regulations. However, in May 2021, the Chinese government announced a crackdown on Bitcoin mining and trading, revoking licenses and cutting power to mining facilities. Within a month, 90% of Chinese miners ceased operations. By September 2021, China declared cryptocurrency-related activities illegal, categorizing Bitcoin mining as an "eliminated industry." This forced miners to relocate to countries like the U.S., Russia, Canada, Kazakhstan, and Ethiopia, where low costs and favorable regulations made mining viable. Some Chinese miners established operations in at least 12 U.S. states, including Arkansas, Ohio, Oklahoma, Tennessee, Texas, and Wyoming.
Following China’s ban, many U.S. mining companies went public, such as Marathon Digital Holdings (MARA), CleanSpark Inc. (CLSK), and Cipher Mining Inc. (CIFR). European and Canadian mining companies, like Core Scientific, Cipher Mining, and Iris Energy, also flourished. Even governments, such as Ethiopia, El Salvador, Venezuela, Russia, and Kazakhstan, utilized their natural resources to generate low-cost electricity for mining. These nations are typically resource-dependent and vulnerable to currency fluctuations, especially when the U.S. dollar strengthens, increasing debt repayment costs, reducing foreign exchange earnings, and causing inflation.
To alleviate economic pressure, El Salvador adopted Bitcoin as legal tender in June 2021, becoming the first Bitcoin-based economy. This policy allowed 70% of its unbanked citizens to access financial services via mobile phones, reducing remittance costs for those working abroad. On a national level, it decreased reliance on the U.S. dollar, increased monetary sovereignty, and boosted economic flexibility. Following El Salvador’s lead, the Central African Republic adopted Bitcoin as legal tender in Q2 2022.

Figure 3-4, The Evolution of Gold and Bitcoin Mining

Figure 3-5, Changes in Mining Equipment and Scale

Figure 3-6, Evolution of the Mining Community Over the Years
Chapter 3-3 - Analyzing Global Mining Data Through Bitcoin Explorer
This chapter delves into the interpretation of data provided by Bitcoin explorers, such as BTC.com, and connects it with the foundational knowledge from previous sections. Currently, there are many Bitcoin explorer resources available, such as BTC.com, Blockchain.com, Tokenview, OKX and blockchair. Here, we will focus on BTC.com as an example. The principles discussed here apply to any cryptocurrency that uses mining, as their operational rules are similar to Bitcoin's.
Upon entering BTC.com, you can view key metrics such as Bitcoin's market cap, circulating supply, remaining supply to be mined, network status, and mining pools, as shown in Figure 3-7.

Figure 3-7, BTC Explorer Basic Information
As seen in Figure 3-8 (refer to Figure 2-13 for supplementary understanding), the left side of the network status section provides important data points, which include hash rate, difficulty, earnings per unit of hash rate, expected next difficulty adjustment, and the ratio of fee reward to block reward.
● Hash Rate: This refers to the computational power of a mining machine. The hash rate indicates how many hashes (computations) can be performed per second, with the base unit being Tera Hashes per second (TH/s). Mining involves finding a nonce and calculating the block hash using the SHA-256 hashing algorithm. The collective hash rate of all mining machines reflects the total network hash rate, e.g., 558.12 EH/s = 558,120 PH/s = 558,120,000 TH/s.
● Difficulty: Bitcoin's network is designed to generate a new block every 10 minutes. After 2,016 blocks (about 14 days), the difficulty adjusts based on the total mining power. If blocks are produced faster than 14 days, the difficulty increases; if slower, the difficulty decreases.
● Expected Next Difficulty: This shows how the next difficulty adjustment will change based on the total time taken to mine the last 2,016 blocks(2,016 blocks x 10 mins = 20,160 mins). The goal is to keep block production at an average of 10 minutes per block. The adjustment formula ensures the new difficulty maintains this timing:
New Difficulty = Old Difficulty × (20160 minutes / Time taken for last 2016 blocks)
Example: If it took 12 days (17,280 mins) to mine the last 2,016 blocks, the new difficulty will increase by 16.67%. If it took 16 days (23,040 mins), the difficulty will decrease by 12.5%.
● Date to Next Difficulty: This indicates when the next difficulty adjustment will occur, based on current mining speeds, but the theory time is 14 days.(2,016 blocks x 10 mins / 1,440 mins = 14 days)
● Earnings per Unit (Earning/T): This shows the daily earnings per unit of hash rate (TH/s). Many small miners join mining pools to combine their computing power. Common reward models include:
Pay-Per-Share (PPS): Miners are paid a fixed amount based on the valid shares they contribute, regardless of whether the pool finds a block.
Full Pay-Per-Share (FPPS): An improved version of PPS that also includes a share of transaction fees.
● Fee Reward/Block Reward Ratio: This shows the ratio of transaction fees to block rewards. As the block reward decreases over time (due to halving), the significance of transaction fees increases. By 2140, when all Bitcoin has been mined, transaction fees will be the sole reward for miners.

Figure 2-13, Bitcoin Blockchain Information

Figure 3-8, BTC Explorer Network Status
The right side of Figure 3-9 displays information on mining pools, including their real-time hash rate, network share, 7-day luck, blocks mined, and average transaction fees per block. By selecting a specific mining pool, such as Foundry USA, you can view additional details such as the number of blocks mined daily and block-specific information (block height, rewards, hash, and transactions), as shown in Figures 3-10 and 3-11.

Figure 3-9, BTC Explorer Mining Pool Information
● Network Share: This shows the proportion of the total network hash rate contributed by a particular mining pool.
● 7-Day Luck: This metric compares the actual number of blocks found by a pool over a week to the expected number based on the pool’s hash rate. A value of 100% means the pool found the exact number of blocks expected; values above or below indicate better or worse luck, respectively.
Example: As of June 27, 2024, Foundry USA has 27.44% of the network hash rate. With 144 blocks mined daily, Foundry USA is expected to find 39.51 blocks per day (144 × 27.44%), or 276.59 blocks over 7 days. If they found 254 blocks, their 7-day luck would be 91.83%.
● Blocks Mined: This shows the number of blocks mined since the last halving.
● Average Transaction Fee per Block: This shows the total transaction fees collected in a block, distributed to the miner who finds it.
● Blocks List: This section provides detailed information about the blocks mined by a particular pool. It includes the block height (the sequential number of the block), block reward (how much Bitcoin was rewarded for mining the block), hash value (the unique cryptographic hash of the block), and detailed information about each transaction contained in the block, as illustrated in Figure 3-12.
The BTC Explorer provides a real-time snapshot of global mining activity, offering insights into key metrics like network difficulty, hash rate, and pool performance. This data is invaluable for calculating mining costs, which will be covered in the next chapter.

Figure 3-10, Foundry USA 7-Day Luck Calculation

Figure 3-11, Block Mining Pool Information

Figure 3-12, Block Information
Chapter 4 - Comparative Analysis of Bitcoin and Various Assets
In this chapter, I will conduct a detailed comparison of Bitcoin and gold from an asset perspective, analyzing their similarities and differences. By using gold as a baseline, we will explore whether Bitcoin shares the same properties and what similar developmental potential it may have. I will also compare Bitcoin spot markets with Bitcoin ETFs, evaluate their respective features, and propose investment strategies tailored to different needs. Finally, I will review companies and enterprises that have invested in Bitcoin in recent years to understand the institutional acceptance and popularity of Bitcoin among institutional investors. Through this comparative analysis, we aim to provide a comprehensive understanding of Bitcoin's current position and future potential.
Chapter 4-1 - Bitcoin vs. Gold
Bitcoin and gold, as two influential assets in today’s market, have key characteristics in common, particularly their anti-inflationary properties. As seen in Figure 4-1, gold has historically been a reliable store of value, especially during periods of economic instability, due to its scarcity and safe-haven status. Similarly, Bitcoin, with its capped supply of 21 million coins, is increasingly regarded as "digital gold." This fixed supply ensures Bitcoin’s rarity and makes it a strong asset for value retention, particularly as inflationary pressures mount with the continual printing of fiat currency.

Figure 4-1, Bitcoin vs. Gold
Gold mining is constrained by natural resources and technology, while Bitcoin's supply is clearly defined by its whitepaper. As of now, approximately 197,576 tons of gold have been mined, while 19,718,021.88 BTC have been mined, representing 93.8% of the total supply. This transparency makes it easier to estimate Bitcoin's mining costs and market value.
In terms of usage, gold and Bitcoin share similarities but also have significant differences. Gold has long been widely used as an investment and safe-haven asset, particularly during times of economic instability. Its stability and risk-hedging capabilities make it a vital tool for preserving wealth. However, one of its biggest drawbacks is its physical weight. This makes transporting gold cumbersome. The best approach is to carry gold to another region or country and exchange it for the local currency. However, there is a complication: transporting more than 2kg of gold or the equivalent of $20,000 out of the country typically requires a declaration and obtaining a permit. Failure to comply with these regulations may result in fines, confiscation, or other penalties.
Both Bitcoin and gold have similarities and differences in terms of use cases. Gold has been used as an investment and safe-haven asset for centuries, especially during economic downturns. However, its physical weight makes it cumbersome for transportation. In comparison, Bitcoin's digital nature makes it more versatile in global cross-border payments, with its decentralized and anonymous features offering advantages in digital transactions.
Observing the difference between 2024 and 2018, we see significant progress. Multiple cycles of bull and bear markets in Bitcoin have produced many crypto millionaires. However, many crypto assets (BTC, ETH, USDT) are still not fully integrated into formal financial systems, limiting their liquidity into fiat currencies, goods, and services. This has led to cycles of sharp price appreciation within the crypto market.
More companies are now accepting Bitcoin as a form of payment, making it increasingly easier for crypto holders to utilize their digital assets. Some examples include:
1. Payment ways in El Salvador: Children in El Salvador using Bitcoin's Lightning Network to buy snacks. (Video link)
2. Bitcoin ATMs: Companies like K1 Technology in El Salvador are manufacturing Bitcoin ATMs (K1 Mini), allowing users to exchange Bitcoin for goods and services. (Video link)
3. Brazil education: Educational programs are teaching children how to use Bitcoin for payments, shaping future consumption trends. (Video link)
4. Payment ways in Germany: Bitcoin is being used to pay for beer in Germany, showcasing growing acceptance in Europe. (Video link)
5. Pay taxes by cryptocurrencies in Switzerland: As of 2022, Bitcoin and USDT are accepted as legal tender in Lugano, Switzerland, where citizens can pay for taxes, fines, and more with crypto. The driving force behind this initiative is Tether, the stablecoin issuer, in collaboration with the city of Lugano, through the launch of the Plan B initiative. The goal of this plan is to transform Lugano into the "Bitcoin Capital of Europe." Currently, over 200 stores and businesses in the city accept cryptocurrency payments, and more than 15% of the residents use the Swiss Franc stablecoin (LVGA) for everyday transactions. From McDonald's to century-old local shops, Bitcoin is increasingly accepted as a form of payment. This move indicates that cryptocurrency is steadily becoming a mainstream payment method in Europe.
6. Buy real estate by cryptocurrencies in Taiwan: Bitcoin is increasingly accepted in real estate transactions, indicating rising recognition of Bitcoin's value. See Figures 4-2 and 4-3 for examples of real estate listings in Taiwan accepting BTC, ETH, USDT.

Figures 4-2, Taiwan Real Estate Accepting Bitcoin Payments(2018)

Figures 4-3, Taiwan Real Estate Accepting Bitcoin Payments(2023)
7. Global Adoption: According to BTC Map , verified businesses globally are accepting Bitcoin payments. As of July 2024, Europe, Central and South America, and parts of the U.S. are leading in Bitcoin adoption.
8. Shopping Mall of Japan accept Bitcoin payments: During my travels in Japan in 2024, I discovered that even large retailers like Bic Camera accept Bitcoin as shown in Figure 4-5.

Figures 4-4, Global Businesses Accepting Bitcoin

Figures 4-5, Shopping Mall of Japan accept Bitcoin payments
9. Luxury Cars accepting Bitcoin payments: Ferrari began accepting BTC, ETH, and USDC with BitPay in 2023 for car purchases in the U.S., with plans to expand to Europe and globally by the end of 2024 as shown in Figure 4-6.

Figure 4-6, Ferrari accepting Cryptocurrencies payments
10. Cryptocurrencies payments in Travel Industry: Bitcoin is now widely accepted for travel-related expenses, including flights, accommodations, and activities as shown in Figure 4-7.

Figure 4-7, Cryptocurrencies payments in Travel Industry
In the financial market, gold spot ETFs have been available since their launch on November 18, 2003. Within eight years (by August 11, 2011), the price of gold ETFs surged by 398.38%. As of May 1, 2024, the total increase since their launch is 532.13%, indicating strong demand and recognition from investors. This has made gold ETFs a popular choice for those seeking a safe haven and long-term value appreciation. Given the similar scarcity and safe-haven attributes of Bitcoin and gold, both Bitcoin ETFs and gold ETFs can be analyzed together to evaluate Bitcoin ETFs’ potential development, as shown in Figure 4-8.
When gold ETFs were first introduced in 2003, the market value of gold was around $1 trillion. Over the following 20 years, the market experienced a series of global events such as the financial crisis, the European debt crisis, oil price crashes, Brexit, the COVID-19 pandemic, supply chain disruptions, and the Russia-Ukraine war. By 2024, the market value of gold had risen to $12 trillion. Bitcoin ETFs, launched on January 11, 2024, show strong potential despite their relatively short time on the market. Interestingly, at the time of the Bitcoin ETF launch (June 2024), Bitcoin's market value was also approximately $1 trillion. If we project future growth based on the early expansion of the gold ETF market, it is plausible that Bitcoin's market value could similarly rise to over $12 trillion in the coming years, as shown in Figure 4-9. Bitcoin spot ETFs could replicate the growth pattern of gold spot ETFs.
As the global financial market continues to evolve, investor acceptance and demand for these new assets will likely keep growing, positioning Bitcoin as an increasingly important player in the future financial ecosystem. The introduction of Bitcoin spot ETFs marks the entry of cryptocurrency into mainstream investment. Given technological advancements, the expansion of fiat money supplies, and the growing debt burdens worldwide, Bitcoin spot ETFs are expected to experience significant growth, potentially becoming the next major asset class. This would attract more investors and capital, further solidifying Bitcoin's role in the financial market.

Figure 4-8, Gold ETF Performance
Chapter 4-2 - Bitcoin Spot V.S. Bitcoin ETF
In this chapter, I will compare the differences and similarities between Bitcoin spot and Bitcoin ETFs, as illustrated in Figure 4-10. Below is an analysis of key points regarding their commonalities and differences:
1. Similarities: Both are assets for value storage, and losing Bitcoin likely results in loss.
● Value Storage Asset: Both Bitcoin spot and ETFs can be used for value storage and asset appreciation. Holding either offers a similar purpose, and with ETFs, the issue of premium and discount has been largely resolved. Before the approval of Bitcoin ETFs, the only direct product linked to Bitcoin spot was the Grayscale Bitcoin Trust (GBTC), which exhibited significant price deviations, with a premium of 43.21% and a discount of 48.89%. The rate of return for investors holding GBTC was impacted by these deviations. However, after the approval of Bitcoin ETFs, the free flow of capital has led to a gradual elimination of such premiums and discounts, as shown in Figure 4-11.
● Risk of Loss: Whether holding Bitcoin spot or ETFs, if the worst-case scenario occurs (theft, loss, etc.), the investor would need to absorb the loss. Spot Bitcoin holders might store assets on exchanges for convenience, which exposes them to risks like insider fraud, theft, security breaches, and hacking. Assets in this case would be irretrievably lost. If stored in cold wallets, losing the seed phrase also means a total loss of assets. On the other hand, holding ETFs also carries risks. For instance, BlackRock’s S-1 filing with the SEC highlights potential risks, stating that Coinbase Global maintains a $320 million insurance policy for client asset losses, but this coverage is shared among all clients and may not cover every loss or be sufficient for all events. Importantly, unlike bank deposits, Bitcoin is not insured by FDIC or SIPC, meaning any loss, including loss of private keys, will not be compensated. Therefore, both spot and ETF holders must be prepared for such risks.
2. Differences: Payment, storage, taxation, trading barriers, and ownership rights.
● Payment: Bitcoin spot offers equity, ownership, and transaction rights. It can be used directly as a medium of exchange for goods and services and has value growth potential similar to stock ownership.
● Ownership Rights: In the next decade, Bitcoin may be recognized as a formal asset. In 2024, the Financial Accounting Standards Board (FASB) (https://aboutblaw.com/bbR6) introduced new guidelines requiring businesses holding cryptocurrencies like Bitcoin and Ethereum to report them at fair value, reflecting gains and losses in net income. This rule will take effect on December 15, 2024, for both public and private companies, indicating a shift towards recognizing Bitcoin as a financial asset with ownership rights. Bitcoin ETFs, on the other hand, are securitized dollar assets, meaning investors only gain capital appreciation from price changes without directly owning the underlying Bitcoin.
● Storage: Bitcoin spot can be stored in cold wallets (offline) or hot wallets (on exchanges), depending on the user’s preference. Bitcoin ETFs, however, are securitized representations of Bitcoin held by custodians like BitGo, Coinbase, or Gemini.
● Taxation: Tax considerations depend on various factors, including location, legal status, and the tax regulations of the country in question. Due to the complexity of legal and tax implications, consulting a professional is recommended.
● Trading Barriers: Purchasing Bitcoin spot requires setting up exchange accounts, linking deposit/withdrawal accounts, establishing cold wallets, and setting up address whitelists. Bitcoin ETFs are much simpler to trade, as they can be bought and sold directly through brokerage accounts.

Figure 4-10, Bitcoin Spot vs. Bitcoin ETF

Figure 4-11, GBTC Premium/Discount
The listing of Bitcoin and Ethereum ETFs on U.S. stock exchanges marks a significant milestone, bridging the gap between traditional fiat and cryptocurrencies. For institutional investors restricted by regulations, security concerns, or unclear regulatory frameworks, direct investments in Bitcoin spot were previously inaccessible. With SEC-approved Bitcoin and Ethereum ETFs, these institutions can now safely invest in the crypto market, leading to a surge in capital flow. The increasing demand for Bitcoin ETFs is expected to drive up the price of spot Bitcoin as the available supply diminishes relative to the massive demand from institutional investors.
Since the approval of Bitcoin ETFs on January 11, 2024, the trend has shifted from retail to institutional dominance. A prime example is BlackRock’s Bitcoin ETF (IBIT), which reached a $20 billion scale in just 144 days by June 3, 2024. When combined with nine other Bitcoin ETFs, the total scale reached approximately $46 billion, as shown in Figure 4-12. HODL15Capital’s data indicates that within six months of Bitcoin ETFs’ launch, issuers collectively acquired 867,532 BTC (valued at $56.3 billion) by June 21, as shown in Figure 4-13. Moreover, the SEC’s Q1 13F reports reveal that 414 institutions hold IBIT, 402 hold GBTC, over 200 hold FBTC, and more than 100 hold BITB (Figure 4-14).
Such massive capital inflows and rapid institutional adoption of new ETFs are unprecedented for any financial product. This implies that the situation for Bitcoin spot holdings is likely even more remarkable, and the next chapter will explore how institutions are positioning themselves with Bitcoin spot holdings.

Figure 4-12, Bitcoin ETF Data (June 29, 2024)
Chapter 4-3 - Institutional and Corporate Adoption of Bitcoin
The chapter will compare the holdings of Bitcoin between commercial companies, private companies, ETFs, and governments based on publicly available data from bitcointreasuries(https://bitcointreasuries.net/). Analyzing this data will provide insights into the potential growth and development of Bitcoin in the near future. As shown in Figure 4-15, we observe significant Bitcoin purchases across commercial companies, ETFs, and governments on three key dates: August 30, 2023, January 3, 2024, and January 29, 2024. After January 29, 2024, there has been continuous accumulation, with ETFs adding 228,301.693 BTC and commercial companies acquiring 49,262.068 BTC. From January 30 to July 3, 2024, daily demand has exceeded production by 2.63x.

Figure 4-15, Bitcointreasuries Data (07/03/2024)
Public Company
Prominent public companies such as MicroStrategy, Marathon Digital Holdings, Riot Platforms, CleanSpark, Cipher Mining, and Bit Digital in the United States; HIVE Digital Technologies and Bitfarms in Canada; and Metaplanet in Japan have recently increased their Bitcoin holdings. MicroStrategy, in particular, has been a trailblazer in this space. Since August 11, 2020, under the leadership of CEO Michael J. Saylor, the company has continuously purchased Bitcoin without pause. MicroStrategy has even issued corporate bonds and convertible bonds to further expand its Bitcoin investment portfolio. Starting with an initial purchase of $250 million in Bitcoin in August 2020, the company has subsequently issued $600 million in convertible bonds in 2021, $1 billion in corporate bonds in 2022, $750 million in corporate bonds in 2023, and $1.2 billion in convertible bonds in 2024. This aggressive acquisition strategy has positioned MicroStrategy as a benchmark for corporate Bitcoin holdings, significantly influencing other companies to follow suit.
This bond-issuing strategy was recently emulated by the Japanese company Metaplanet. Faced with severe depreciation of the Japanese yen due to prolonged low-interest rates, a strong U.S. dollar, and robust economic performance in the United States leading to capital inflows and yen appreciation pressures, Metaplanet issued corporate bonds to raise funds for purchasing Bitcoin. This approach aims to hedge against the asset shrinkage risks posed by the yen's depreciation, leveraging Metaplanet's access to abundant hydroelectric resources and low electricity costs to reduce mining expenses. These factors give Bhutan a competitive edge in cryptocurrency mining, attracting mining companies like Bitmain’s subsidiary Bitdeer for collaborative ventures.
Other companies increasing their Bitcoin holdings are predominantly Bitcoin mining firms. The quantity of Bitcoin these companies hold is estimated to be the net profit from mining block rewards after deducting operational costs. In the cryptocurrency market, Bitcoin mining companies play an increasingly crucial role. They are responsible not only for maintaining the blockchain network’s security but also for financially reinforcing their balance sheets by holding the Bitcoin they mine.
Based on observations from 2024, it is anticipated that more commercial companies will emulate MicroStrategy’s model. Additionally, mining companies are likely to accumulate capital in preparation for the next halving cycle, aiming to expand their operations and outcompete smaller miners.
Private Company
Tether Holdings, the issuer of the USD stablecoin USDT, announced on May 17, 2023, that it would allocate 15% of its net profits for that month (approximately $222 million) to purchase Bitcoin. Furthermore, Tether plans to continue allocating 15% of its net profits each month to increase its Bitcoin holdings while also planning to raise its reserves of gold and U.S. Treasury bonds. This strategy aims to diversify and stabilize its balance sheet by balancing high-risk asset investments with secure assets.
- Massive Bitcoin Purchases by Stablecoin Issuers: Tether’s large-scale Bitcoin acquisitions increase market demand, further driving Bitcoin prices upward.
- Diversified Asset Reserves: By continuously increasing reserves in gold and U.S. Treasury bonds, Tether demonstrates a strategy of balancing risk while expanding its high-risk asset portfolio.
- Hedging Against Inflation and Currency Depreciation: Holding Bitcoin helps Tether combat inflation and currency devaluation issues.
Tether Holdings' increased purchasing power and ongoing Bitcoin accumulation steadily boost market demand, providing strong support for Bitcoin’s price. As a stablecoin issuer, Tether’s asset allocation strategy may influence other financial institutions and investors' perceptions and investment behaviors towards Bitcoin. Tether's actions reflect confidence in Bitcoin’s long-term value, highlighting the growing maturity and diversified investment strategies within the cryptocurrency market. In the future, as more large-scale institutions join Bitcoin’s investment ranks, Bitcoin’s market demand and price are expected to continue rising, further expanding and maturing the cryptocurrency market.
Government
As of 2024, several countries have publicly disclosed their Bitcoin holdings, including developed economies like the United States, United Kingdom, and China, as well as developing nations such as El Salvador, Bhutan, and Venezuela. Below is an analysis based on publicly available information regarding these countries' Bitcoin holdings.
United States, United Kingdom, China:
- The Bitcoin holdings of the United States, the United Kingdom, and China primarily originate from the seizure of illegal assets, which are then turned over to the state following criminal investigations.
- United Kingdom: The UK government primarily acquires Bitcoin through confiscating illicit proceeds. In 2021, the UK seized 61,000 BTC linked to money laundering activities involving Chinese nationals Jian Wen and Zhimin Qian. These Bitcoins were used to purchase substantial real estate and luxury goods across Europe.
- China: There are no explicit reports detailing the Chinese government's Bitcoin holdings. However, it is known that in 2020, the Chinese government seized 190,000 BTC from the PlusToken Ponzi scheme. Additionally, recent crackdowns on illegal mining operations and fraudulent businesses likely resulted in substantial Bitcoin confiscations, though exact figures remain undisclosed. Given the scale of these operations, it is reasonable to infer that China's Bitcoin holdings exceed 190,000 BTC.
El Salvador, Bhutan and Venezuela:
- Bhutan and El Salvador primarily acquire Bitcoin through government-led mining operations.
- El Salvador: Following the declaration of Bitcoin as legal tender in June 2021, El Salvador has undertaken several measures to increase its Bitcoin reserves. This includes establishing Bitcoin banks, utilizing geothermal resources for mining, and implementing a daily Bitcoin investment plan starting March 16, 2024, where the country invests in Bitcoin daily. These initiatives enhance El Salvador’s Bitcoin reserves and increase public awareness and usage of Bitcoin among its citizens.
- Bhutan: Bhutan leverages its national strength to promote the Bitcoin industry. The country’s sovereign investment institutions have been engaged in Bitcoin mining for years, utilizing abundant hydroelectric power resources to achieve low electricity costs. The favorable mountainous climate further reduces mining expenses, attracting mining enterprises such as Bitmain’s subsidiary Bitdeer for collaborative projects.
- Venezuela: Information on Venezuela’s Bitcoin holdings primarily comes from bitcointreasuries.net. On May 20, 2024, Venezuela’s Ministry of Power and the national power company initiated a special project targeting cryptocurrency mining to address the energy crisis. This project aimed to disconnect mining farms from the national power grid and seize 11,000 mining rigs. It remains unclear whether the seized Bitcoin earnings were also confiscated. Venezuela’s dire economic conditions, with an annual inflation rate of approximately 1,700,000% in 2018, underscore the necessity for alternative currencies like Bitcoin to combat hyperinflation and currency devaluation. Economist Carlos Hernández aptly noted, "In a country facing economic collapse and fiscal corruption, a 'borderless currency' is no longer just a popular slogan," highlighting Bitcoin’s critical role in such environments.
In developed economies or those with strong currencies, Bitcoin typically enters through the confiscation of illicit gains. In contrast, developing countries or those with weak or corrupt currencies face severe economic challenges, extreme currency fluctuations, and hyperinflation, making Bitcoin an essential tool for wealth preservation and risk hedging. These countries adopt various Bitcoin strategies, such as leveraging local advantages for mining, changing legal tender to Bitcoin, and enhancing public awareness of borderless currencies. This reflects the diverse applications and growing importance of cryptocurrencies.
Fund
As depicted in Figure 4-17, after the listing of Bitcoin ETFs, institutional investors and commercial companies primarily hold Bitcoin indirectly through ETFs such as iShares Bitcoin Trust (IBIT), Fidelity Wise Origin Bitcoin Fund (FBTC), ARK 21Shares Bitcoin ETF (ARKB), and Bitwise Bitcoin ETF (BITB). Institutions that previously held the Grayscale Bitcoin Trust (GBTC) have largely sold off their holdings in GBTC and transitioned to other ETFs post-ETF approval.
Initially, traditional fiat investors lacked suitable avenues for Bitcoin investment, with GBTC being the only option. However, between 2021 and 2023, several events eroded GBTC’s reputation and trust, leading to significant premiums and discounts (as shown in Figure 4-9). Additionally, operational disputes (e.g., between Digital Currency Group (DCG) and Grayscale over the sale of $1.6 billion in GBTC shares to repay creditors), liquidity constraints (GBTC investors could not redeem shares freely before conversion to ETFs, causing significant price discrepancies relative to GBTC’s net asset value (NAV)), and high fees (ETF application fees reduced from 2% to 1.5%) led to a continuous sell-off by clients post-ETF listing. Investors shifted towards lower-fee, higher-liquidity, and asset-value-aligned products like IBIT, FBTC, ARKB, and other mainstream ETFs, as depicted in Figure 4-14.
From the 13F reports, it is evident that mainstream Bitcoin ETF holders include asset management firms (Aristeia Capital, Graham Capital Management, Ovata Capital Management, Hightower, Fortress Investment Group, Yong Rong Asset Management, Legacy Wealth Asset Management, Monolith Management, Newbridge Financial Services Group), quantitative trading firms (Susquehanna International Group), hedge funds (Bracebridge Capital, IvyRock Asset Management), hedge fund managers (Boothbay Fund Management, Crcm), investment advisory firms (Cambridge Investment Research, Pine Ridge Advisers, United Capital Management, Sequoia Financial Advisors, Integrated Advisors, Brown Advisory), banks (Morgan Stanley, South State Bank, The Bank of New York Mellon, BNP Paribas), and family offices (Quattro Financial Advisors). This wide array of institutional participation indicates that the financial industry is actively integrating blockchain-based risk assets. Future increases in scale and volume will be a key area of focus.

Figure 4-17: Bitcoin ETF Net Flows, Market Share Comparison
Chapter 4-4 - My Views and Usage of Bitcoin Assets
The value of Bitcoin is increasingly being recognized as on par with fiat currency, and its use in transactions is being accepted by more individuals and businesses alike. Bitcoin is not only used for trading, storing, and appreciating value but also for collateralized lending, depending on how holders view the asset.
In 2024, the main categories of personal consumption—such as food, clothing, housing, transportation, education, and leisure—can all be paid for using digital currencies, provided that both parties agree to the transaction. More companies are also adopting Bitcoin lightning payments, making it easier and faster for merchants to receive payments. Tesla once offered Bitcoin as a payment option for purchasing vehicles, and some UK real estate companies have also accepted Bitcoin for property transactions. These examples show that major purchase categories like real estate, vehicles, and travel can now be paid for using Bitcoin or other cryptocurrencies. Notably, in financial hubs like Switzerland, it is already possible to pay taxes using cryptocurrencies, a significant step toward integrating digital currencies into everyday economic activities.
This wave of adoption is driving demand for Bitcoin, showing that cryptocurrencies will play a critical role in future economic activities. As technology advances and fiat currencies continue to expand in supply, the application scenarios for Bitcoin and other cryptocurrencies will become even broader. The future of these digital assets looks undeniably promising.
From a personal perspective, I view Bitcoin as both a payment tool and a means of preserving wealth. I aim to accumulate as much Bitcoin as possible within my financial capacity. When making significant purchases, particularly assets, I consider using Bitcoin for payment. As global acceptance of cryptocurrencies increases, I believe Bitcoin will be used in a growing number of areas. If Bitcoin can be treated similarly to tangible assets like vehicles and real estate, I plan to integrate its use into my daily life. This reflects my perspective on Bitcoin and cryptocurrency assets, and I look forward to seeing more innovative applications of Bitcoin in various sectors in the future.
The follow-up content is paid content, which is briefly mentioned here. Welcome to purchase paid content.
Chapter 5 - BTC Cycles and Price Range Estimations
Chapter 5-1 - The AB Laws for Bitcoin Price Fluctuations
By thinking from the perspective of "first principles," we can analyze the nature of Bitcoin and the reasons behind its price fluctuations. Before diving into the analysis, we first calculate the current supply and the liquid supply. Then, we divide Bitcoin’s nature into two main factors and explore the sub-factors that drive price changes.

Current BTC Supply Overview

BTC Price Driving
Chapter 5-1-1 - Energy Production Costs
When exploring Bitcoin’s energy costs, I compare the process of mining gold to the generation of Bitcoin. Both require significant resource input. Gold involves drilling, excavation, and refinement, while Bitcoin relies on computational power, electricity, and infrastructure. By applying the concepts of Bitcoin’s "energy value" and "mining cost calculations," I aim to evaluate Bitcoin’s market price and its future trends.
● Energy Value
To estimate Bitcoin's theoretical value, I refer to literature that calculates energy input during the mining process and the Bitcoin supply growth rate. Based on these estimates, the current theoretical value of Bitcoin is approximately $64,448 per coin.
● Mining Cost Calculation
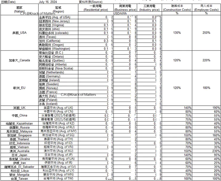
In terms of mining costs, I consider real-world expenses involved in setting up a mining operation, particularly focusing on costs in Taiwan. I designed an Excel sheet that automatically calculates mining expenses based on my previous experience in Bitcoin mining, breaking down costs such as factory construction, equipment, electricity, and personnel. According to these calculations, hardware equipment costs account for X%, electricity for Y% (81%), and personnel costs are only Z%.
Electricity costs significantly impact the overall cost of mining. To account for global mining environments, I incorporated data from sources such as GlobalPetrolPrices, U.S. Bureau of Labor Statistics, and Arcadis, which provide electricity rates, construction costs, and personnel costs across various countries and regions. Using Taiwan as a baseline, I adjust these costs proportionally by region to more accurately reflect real expenses. Finally, these calculations are unitized to present the mining cost per unit (per TH per day).
Based on the final calculations, and in conjunction with Bitmain’s 2024 report on the top-selling mining machines (Antminer S19XP, S21), the current mining cost is estimated to be between $52,000 and $57,500 per Bitcoin.

Comparison of Electricity Rates, Construction Costs, and Personnel Costs Across Different Countries and Regions
Chapter 5-1-2 - The AB Law
As miners lose their influence over Bitcoin's price volatility and their impact diminishes with each halving event, future large-scale price increases will no longer be driven solely by miners. By 2032, when Bitcoin's supply reaches 99.2%, the market's volatility is expected to be controlled by other key groups. Once consensus and adoption increase, Bitcoin's price is likely to rise rapidly. Over the three halving cycles, the distribution of Bitcoin has become increasingly concentrated in the hands of those groups. With Bitcoin currently priced at $60,000 per coin, investors who have yet to buy may find themselves even further behind when prices reach $500,000 per coin.

BTC Price Driving

Bitcoin Distribution (Source: bitinfocharts)
Chapter 5-1-3 - Purchasing Power of Fiat Currencies
The continuous increase in the money supply not only weakens the purchasing power of fiat currencies but also drives up overall price levels, exacerbating inflation. People with limited financial literacy tend to hold cash as a safe option, but they fail to realize that this safety is like holding onto a melting ice cube—its value diminishes over time. Those with higher financial literacy, on the other hand, take full advantage of low-interest environments by leveraging their cash into appreciating assets such as stocks, real estate, bonds, gold, and even Bitcoin. These assets not only preserve value but also help hedge against inflation, further widening the wealth gap.
At the same time, the U.S. debt clock shows real-time data illustrating how the future is being over-leveraged. With the purchasing power of fiat currencies steadily declining, it is worth considering which assets will be the best long-term choices for holding in the future.

US Debt Clock
Chapter 5-2 - The Reproducibility of Bitcoin Cycles
In this chapter, we’ll examine whether Bitcoin’s past price trends show any repeatable cycles. If we can confirm that there is a repeating pattern, we can then use this pattern to identify and respond to potential high and low price points.
Chapter 5-3 - Estimating Bitcoin's Price Increase Threshold
In analyzing Bitcoin's cyclical patterns, valuation models can be used to estimate a reasonable price range and timeframe for Bitcoin. By considering investor behavior and sentiment, these models help identify optimal entry and exit points. After thorough research and evaluation, I have adopted four main models to forecast Bitcoin’s price movements, estimating the timeframes and price ranges within which the coin is expected to rise or fall. These models also take into account the political, economic, and investor group behaviors and sentiments to provide a comprehensive analysis.
During bull and bear market phases, I apply 4 to 6 supplementary signals to enhance the accuracy of these predictions, ensuring a more precise judgment.

Using Valuation Models and Data to Identify Bitcoin’s Cyclical Patterns and Key Price Levels
Chapter 5-4 - Estimating Bitcoin's Price Decrease Threshold
Here, we calculate the cost of mining by breaking down all expenses, including hardware setup (land costs, factory construction, power distribution, miner installation, air conditioning), electricity costs (miners, air conditioning, other electricity needs), and labor costs. We then calculate how many miners can be installed in the factory and how much Bitcoin they can produce (revenue). Ultimately, this gives us the equivalent cost per hash rate, per unit of electricity, per day.
To align with the mining costs across various countries engaged in Bitcoin mining, we collect data on electricity prices, building costs, and labor costs. Taiwan’s data is used as the base, and multipliers are applied to approximate the costs in different countries and regions. With this model, by entering different conditions, we can automatically calculate the mining cost for any miner model, anywhere in the world.
As of July 2024, the mainstream mining costs are around $52,000 to $57,500 per Bitcoin. Prices below this are considered risk-free arbitrage opportunities.
This cost data is particularly useful for calculating the bottom price in a Bitcoin bear market. When prices fall to this cost level, it is the best time to accumulate.
Chapter 6 - Thoughts on BTC’s Future Development
This chapter shares my thoughts on Bitcoin’s future development, as well as the evolving landscape. Some established patterns might be changing.
With the 2024 Bitcoin halving, the total mined supply will approach 96.8% of the maximum, and by 2032, it will reach 99.2%. As a result, miners' influence on Bitcoin price fluctuations is gradually weakening. Unlike the early days, miners can no longer significantly impact market prices through large-scale selling or hoarding. For the future development of Bitcoin, I provided my perspectives in paid version.

Bitcoin Supply Curve
Chapter 7 – Conclusion
Summarizes the entire content of the article.
Notes
1. Inflation Rate
The inflation rate is calculated as the percentage change in the average price level of a specific basket of goods and services over a certain period. This basket is usually represented by the Consumer Price Index (CPI) or the Producer Price Index (PPI). Inflation rates are typically measured on a monthly or yearly basis. The formula for calculating the inflation rate is as follows:

Where:
- 〖CPI〗_(x+1)= CPI for the current period
- 〖CPI〗_x= CPI for the base period
CPI for the base period
- Demand-Pull Inflation: This occurs when demand grows faster than supply, leading to higher prices as consumers compete for available goods and services.
- Cost-Push Inflation: This happens when production costs (such as rising raw material prices or increasing wages) go up, and businesses pass these higher costs onto consumers by raising prices.
- Monetary Inflation (Built-in Inflation): When central banks increase the money supply, more money circulates in the economy, often leading to higher prices as the purchasing power of currency decreases.
Each of these factors contributes to inflationary pressures in an economy, influencing both consumer behavior and business strategies.
2. Proof of Work (PoW) Consensus Protocols
Proof of Work (PoW) is a consensus mechanism based on computational power. It requires participants in the network (also known as miners) to perform extensive computational work to find a random number, which is used to solve a cryptographic hash function (commonly known as mining). The process of solving this problem ensures the security of the network and the immutability of its data.
Workflow of Proof of Work (PoW):
- Finding a Random Number to Solve the Hash Function: Miners must find a random number (called a nonce) such that, when combined with the block data and passed through a SHA-256 hashing algorithm, the resulting hash value meets specific criteria (e.g., having a certain number of leading zeros). This process requires numerous calculations to find the correct nonce.
- Competing to Solve the Problem: All miners compete simultaneously to solve this mathematical puzzle. The first miner to find the correct solution that meets the criteria submits the block to the Bitcoin network and is rewarded with a certain amount of Bitcoin, known as the block reward.
- Verification and Consensus: Other miners then verify the correctness of this solution. If the majority of miners confirm that the solution is correct, the block is added to the blockchain, and all transactions within that block are recorded on the chain. This process requires significant computational resources and time, ensuring the security and immutability of the blockchain data.
By requiring a large amount of computational effort, PoW helps maintain the integrity of the blockchain and prevents malicious activities, such as double-spending or tampering with historical data.
3. Relationship Between Bitcoin's Public Key and Private Key
When using Bitcoin, every user must have a Bitcoin address, which is derived from a public key and private key. Managing these keys involves the private key, especially when receiving Bitcoin assets. To simplify backup and management of private keys, cryptocurrency wallets convert the private key into a mnemonic phrase. Below is a breakdown of key terms such as Bitcoin Address, Public Key, Private Key, and Mnemonic Phrase, and how they are related.
- Private Key: The private key is the core of generating a Bitcoin address. It is a randomly generated 256-bit number that serves as proof of ownership of the user's Bitcoin. The private key must be kept secret, as anyone with access to it has full control over the corresponding Bitcoin.
- Mnemonic Phrase: Since a private key is a 256-bit binary number, it's difficult to remember. Therefore, it is converted into a sequence of simple words called a mnemonic phrase to make it easier for users to store and back up their private key.
- Public Key: The public key is generated from the private key using an Elliptic Curve Digital Signature Algorithm (ECDSA). This is a one-way process, meaning that the public key can be derived from the private key, but the private key cannot be reverse-engineered from the public key. This ensures the security of the private key even if the public key is exposed.
- Bitcoin Address: A Bitcoin address is created through the following steps:
A. Generate a private key
B. Derive the public key from the private key
C. Hash the public key using SHA-256 to get a 256-bit hash
D. Apply RIPEMD-160 to shorten the hash
E. Add a version prefix (like 0x00 for Bitcoin)
F. Perform a double SHA-256 hash on the result and take the first 4 bits as a checksum
G. Finally, append the checksum to the hash and encode it using Base58 to generate the final Bitcoin address.
The Bitcoin address is a string derived from the public key through a series of hashing operations and serves as a unique identifier for receiving Bitcoin.
- Steps for Generating Mnemonic Phrase:
A. Random Number Generation: A 128-bit, 160-bit, or 256-bit random number is generated. This random number forms the basis for the private key.
B. Generating Entropy: The random number (entropy) is typically 128 bits (representing a 12-word mnemonic) or 256 bits (representing a 24-word mnemonic).
C. Adding Checksum: The SHA-256 hash of the random number is computed, and the first few bits of the hash are appended as a checksum to the random number. For example, a 128-bit random number (entropy) adds 4 bits of checksum to form a 132-bit sequence.
D. Segmentation into Chunks: The 132-bit or 264-bit sequence is divided into 11-bit segments. Each 11-bit segment corresponds to an index value (since 2^11 = 2048).
E. Mapping to Word List: Each 11-bit segment maps to a word from a word list of 2048 commonly used words known as the BIP-39 Word List. The result is a mnemonic phrase made up of 12 or 24 words.
This structure helps simplify the management of the complex and lengthy private key by converting it into a more memorable format without sacrificing security.
4. Hash rate
Hash rate refers to the number of cryptographic hash computations that a mining device can perform per second during the Bitcoin mining process. The hashing process uses the Secure Hash Algorithm 256-bit (SHA-256), which converts the input data into a fixed-length 256-bit string (called a hash). Hash rate is typically expressed in terms of hashes per second, such as H/s, kH/s (kilohashes), MH/s (megahashes), GH/s (gigahashes), TH/s (terahashes), PH/s (petahashes), and ZH/s (zettahashes). The hash rate carries three important meanings:
- Measure of Mining Capability: Hash rate is a key indicator of a mining device's computational power. The higher the hash rate, the more attempts the device can make per second to solve the proof-of-work problem, thus increasing the probability of successfully mining a new block.
- Network Security: A higher total network hash rate indicates a more secure Bitcoin network. It strengthens the network's ability to resist a 51% attack, where a single entity controls more than 50% of the total hash rate and could potentially alter the blockchain's historical records.
- Mining Difficulty: The Bitcoin network adjusts the mining difficulty based on the total hash rate to ensure that blocks are generated every 10 minutes on average. If the hash rate increases, the network difficulty rises; conversely, if the hash rate decreases, the difficulty will be lowered.
In summary, the hash rate is a vital factor in evaluating both the mining power of individual miners and the overall security and functionality of the Bitcoin network.
5. Whale Investors
A whale refers to an individual or a company that holds a significant amount of Bitcoin, typically between 1,000 to 10,000 BTC or more. These whales do not include addresses controlled by mining companies or cryptocurrency exchanges. Instead, they represent large private holders of Bitcoin who can potentially influence the market due to the size of their holdings.
Whale investors can play a crucial role in price volatility since large trades or transfers made by these entities can significantly impact the supply and demand dynamics within the Bitcoin market. Their behavior and trading decisions are often closely monitored by other market participants, as sudden moves by whales can signal market shifts or trends.
6. Bitcoin Stock to Flow Model (S2F Model)
(1、The Stock-to-Flow (S2F) model is a method used to estimate the value of scarce assets, particularly those like gold, silver, and Bitcoin. The concept behind the S2F model is to measure scarcity by comparing the current total supply in the market (stock) to the annual production or new supply (flow), and linking that scarcity to market value. Bitcoin’s total supply is capped at 21 million coins, and through a "halving" mechanism that occurs roughly every four years, the flow—or new supply—of Bitcoin decreases by half. This reduction causes the S2F ratio to double, increasing the asset's scarcity over time.
(2、S2F Formula: S2F = Stock/Flow
(3、Price Prediction Formula Using S2F: log(BTC Price)=α+β×log(S2F)
In this equation, α and β are constants derived through historical data regression, and the formula aims to predict Bitcoin’s future price based on its S2F ratio.
(4、Limitations of the S2F Model:
- Factors Beyond Supply: S2F focuses solely on supply-side scarcity, without considering the fluctuations on the demand side, which may cause deviations from real-world outcomes.
- External Impacts: Factors like regulatory changes, macroeconomic conditions, and technological advancements can significantly impact Bitcoin’s demand, creating potential inaccuracies in the S2F model’s predictions.
- Market Maturity: As institutional investors and new financial instruments like ETFs (exchange-traded funds) participate in the Bitcoin market, it could change the asset’s price volatility, potentially affecting the reliability of the S2F model.
7. Bitcoin Stock-to-Flow Cross Asset Model (S2FX)
- The S2FX Model builds on the traditional S2F model, introducing two additional concepts: Phase Transitions and Cross-Asset Comparison.
- Phase Transitions: The phase transition concept explains Bitcoin's evolution from proof of Concept to payment System, then digital Gold (similar to gold's role as a store of value), and finally financial Asset, as it becomes integrated into traditional finance through vehicles like Bitcoin ETFs, accounting standards, and recognition as a strategic and reserve asset.
- Cross-Asset Comparison: The S2FX model compares Bitcoin’s S2F ratio with that of other scarce assets like gold and silver. By doing this, it creates a cross-asset mathematical model that helps predict Bitcoin’s future market value and price by comparing it to other historically valuable assets.
- Limitations of the S2FX Model: Like the S2F model, S2FX also focuses primarily on supply-side valuation. It does not fully capture market demand shifts or external influences, which may introduce discrepancies between its predictions and real market performance.
References
1. 美國三大財政巨頭親揭2008金融危機拯救貝爾斯登銀行內幕,https://reading.udn.com/read/story/122749/7372803
2. 雷曼兄弟,https://reurl.cc/Eje65m
3. 美國次貸危機時間表,https://reurl.cc/4rndV3
4. 全球金融危機的衝擊與因應,https://web.wtocenter.org.tw/file/newsletter/OrderNewsletter/wtoepaper/article136.htm
5. Chart of the Decade: AIG and the Lesson of the Long View,https://www.wsj.com/articles/chart-of-the-decade-aig-and-the-lesson-of-the-long-view-1410720312
6. View United States's United States US: Money Supply: Currency Issued by Central Government from 2001 to 2017,https://www.ceicdata.com/en/united-states/money-supply-annual
7. Visualizing the Buying Power of the U.S. Dollar Over the Last Century,https://www.visualcapitalist.com/buying-power-us-dollar-century/
8. United States Money Supply M2,https://tradingeconomics.com/united-states/money-supply-m2
9. 比特幣:端對端電子現金系統(Bitcoin: A Peer-to-Peer Electronic Cash System),https://bitcoin.org/bitcoin.pdf
10. 《比特幣:端對端電子現金系統》(Bitcoin: A Peer-to-Peer Electronic Cash System)I,https://reurl.cc/Wx7Opk
11. 《比特幣:端對端電子現金系統》(Bitcoin: A Peer-to-Peer Electronic Cash System)II,https://reurl.cc/0vRWYM
12. Vol.112 區塊鏈到底是什麼?,https://youtu.be/TVlo66aOZE0?si=i7bBiigSgZ-x-pgg
13. The New and Renewed Bitcoin Narrative,https://www.cmcc.vc/insights/the-new-and-renewed-bitcoin-narrative
14. First Mover: Dull Bitcoin Halving Salvaged by Satoshi Tribute in Block 629,999,https://www.coindesk.com/markets/2020/05/12/first-mover-dull-bitcoin-halving-salvaged-by-satoshi-tribute-in-block-629999/
15. 肺炎疫情:美聯儲緊急降息至零利率「一次性打完所有彈藥」,https://www.bbc.com/zhongwen/trad/business-51906250
16. 4E平臺:1分鐘瞭解2024年比特幣減半,https://www.coinlive.com/zh/news/4e-platform-learn-about-the-2024-bitcoin-halving-in-1
17. 懷舊時光機 舊鈔4萬換1元新台幣,https://youtu.be/B3mgVn-hXRE?si=AvJrSOnHHeO13FkX
18. [歷史照片]1923 年德國超級通脹︰2000 億馬克買一個麵包的時代,https://reurl.cc/qV2rqE
19. 一場“擠兌”引發的思考,http://news.cn/fortune/xhcy53.htm
20. 擠兌潮?中國銀行抖出黑幕 中南海火速進駐這3地,https://ec.ltn.com.tw/article/breakingnews/3979271
21. 中國擠兌不單純 恐爆大醜聞,https://ec.ltn.com.tw/article/breakingnews/3973428
22. Long lines at Russia’s ATMs as bank run begins — with more pain to come,
23. https://www.cnbc.com/2022/02/28/long-lines-at-russias-atms-as-bank-run-begins-ruble-hit-by-sanctions.html
24. Ukrainians and Russians are packing ATM lines, prompting fears of what happened in the US during the Great Depression,https://www.businessinsider.com/ukraine-russia-bank-runs-great-depression-stock-market-sanctions-deflation-2022-2
25. 矽谷銀行擠兌危機映射出的新變化,https://opinion.caixin.com/2023-03-14/102007880.html
26. 擠兌,https://zh.wikipedia.org/zh-tw/%E6%93%A0%E6%8F%90
27. 就怕當了韭菜!「中華商銀」3天提領430.8億! 台灣最嚴重的擠兌事件之一,
28. Plague, famine, bank runs: Even centuries ago, financial institutions met the same fate as Credit Suisse,https://www.nzz.ch/english/as-old-as-banks-themselves-a-look-through-the-history-of-bank-runs-ld.1756398
29. Bank runs in the digital era,https://www.ft.com/content/6cc88845-82a3-3bd3-8cba-c586af25b657
30. A History of Bank Runs -- New York Magazine – Nymag,https://nymag.com/news/intelligencer/topic/banks-2012-6/
31. New York - Bank Run, 1930 Photograph by Granger - Fine Art America,https://fineartamerica.com/featured/new-york-bank-run-1930-granger.html
32. Ukrainian refugee flees to Poland with $2,000 in bitcoin on a USB drive,https://www.cnbc.com/2022/03/23/ukrainian-flees-to-poland-with-2000-in-bitcoin-on-usb-drive.html
33. 帶著一支 USB 和 2 千美元的比特幣,烏克蘭男子逃出生天,https://blockcast.it/2022/03/25/ukrainian-refugee-took-a-usb-stick-with-him-across-the-border-containing-2000usd-in-bitcoin/
34. 電子錢包系列專文一: 【金融名詞小百科】-電子錢包,https://www.mypay.com.tw/main_article2.html
35. 台灣行動支付大比拼:Line Pay、街口支付、Apple Pay|大和有話說,https://reurl.cc/NQgO5x
36. 擴大電子支付 帶來4大面向價值,https://www.cmmedia.com.tw/home/articles/3392
37. 比特幣戰爭(上):中國操盤手,https://cn.nytimes.com/business/20160630/china-bitcoin-investiment1/
38. 比特幣戰爭(下):從投機到掌控大型礦池,https://cn.nytimes.com/business/20160701/bitcoin-china-part2/zh-hant/
39. 美股於比特幣飆升後有什麼機會?關注這三隻BTC礦商股,https://hk.investing.com/analysis/article-107917
40. 從重金收購到業務轉型:礦企怎樣應對BTC減半後的新挑戰?,https://m.cnyes.com/news/id/5604164
41. 「挖礦」刺激GPU和ASIC銷售暴漲,為何還有利於人工智慧的發展?丨科技雲·視角,https://cloud.tencent.com/developer/article/1981779
42. 區塊鏈架構與擴容方案:一文帶你深入了解區塊鏈架構,https://zombit.info/blockchain-architecture/
43. 區塊鏈的 Layer 是什麼?L1-4 差異與應用範例介紹,https://www.rayskyinvest.com/57558/layer-intro
44. 像理解網路模型一樣理解區塊鏈,https://111hunter.github.io/2022-06-05-blockchain-2/
45. bitcoinmerch,https://bitcoinmerch.com/
46. glassnode,https://reurl.cc/qVAvXE
47. hashrateindex,https://hashrateindex.com/hashrate/pools
48. 大陸比特幣礦工如今都遷移到哪裡去了?,https://hao.cnyes.com/post/69394
49. Bitcoin’s 4th Halving,https://coinmetrics.substack.com/p/state-of-the-network-issue-255
50. Bitcoin's Halving Aftermath,https://coinmetrics.substack.com/p/state-of-the-network-issue-259
51. 台北市可用比特幣買房?屋主:200比特幣有找,https://www.businesstoday.com.tw/article/category/80392/post/201802060006/
52. 比特幣買房》桃園龜山透天開價「18顆BTC有找」!屋主也收ETH、USDT,https://www.blocktempo.com/taiwan-taoyuan-real-estate-selling-accept-bitcoin/
53. 6顆比特幣買房》中壢車站大坪數美宅求售,年輕屋主:BTC、ETH是優質資產,https://www.blocktempo.com/bitcoin-for-property-mr-meng-sells-taoyuan-real-estate-for-btc/
54. 加密貨幣走入大眾生活!瑞士盧加諾市宣布:接受以 BTC 、 USDT 繳稅,https://blockcast.it/2023/12/07/swiss-city-lugano-accepts-the-payment-of-taxes-and-other-municipal-services-in-btc-and-usdt/
55. 瑞士盧加諾市擴展加密支付:BTC、USDT能支付稅收、所有發票,https://abmedia.io/lugano-now-accepts-btc-and-usdt
56. 瑞士加密支付好流行!盧加諾超過15%市民用穩定幣日常消費,https://www.blocktempo.com/lugano-embraces-cryptocurrencies-in-a-big-way/
57. 加密之城》瑞士盧加諾「從麥當勞到百年餐館」都支持BTC支付,還能比特幣繳稅,https://www.blocktempo.com/more-than-350-stores-in-lugano-switzerland-support-bitcoin-payments/
58. BTC、ETH可買法拉利跑車,Ferrari:接受歐美虛擬貨幣支付,滿足加密富豪需求,https://www.blocktempo.com/ferrari-will-launch-cryptocurrency-payments-in-europe-supporting-bitcoin-purchases-of-supercars/
59. Grayscale Bitcoin Trust ETF,https://ycharts.com/companies/GBTC/discount_or_premium_to_nav
60. S-1 Document iSHARES® BITCOIN TRUST,https://reurl.cc/RqMGqe
61. Coinbase獨佔8家比特幣現貨ETF託管,若「被駭」會發生什麼災難?,https://www.blocktempo.com/will-coinbase-compensate-if-bitcoins-held-by-bitcoin-spot-etfs-are-stolen/
62. 企業持幣大利好?美國首個加密會計新則:按公允價值反映持幣損益,https://abmedia.io/first-us-crypto-accounting-rules
63. Intangibles—Goodwill and Other—Crypto Assets (Subtopic 350-60),https://aboutblaw.com/bbR6
64. 加密貨幣之會計政策彙整-以國外上市公司為例,https://www.crowe.com/tw/insights/insight-article_1120106
65. 科普 | 散戶可以在哪裡追蹤比特幣ETF價格?,https://news.cnyes.com/news/id/5431176
66. 貝萊德比特幣ETF推出5個月資產達200億美元 美國最快,https://news.cnyes.com/news/id/5587921
67. 逾四百個 13F 報告持有貝萊德 IBIT,Morgan Stanley持有近 2.7 億GBTC,https://abmedia.io/there-are-414-13f-report-holders-for-ibit4
68. 美國機構持倉報告出爐:速覽哪些金融巨鱷已入場比特幣 ETF?,https://www.blocktempo.com/institutional-bitcoin-position-data-report/
69. Bitwise投資長:當前估有700家機構持倉比特幣現貨ETF,規模50億美元…這僅是開胃菜,https://www.blocktempo.com/matt-hougan-sees-huge-potential-in-the-bitcoin-spot-etf-market/
70. 海納國際出手押注!一口氣買 10 檔比特幣現貨 ETF,持有規模達 13 億美元,https://blockcast.it/2024/05/08/susquehanna-discloses-over-1-3-billion-in-bitcoin-spot-etf-holdings/
71. 盤點38家持有比特幣的上市公司:有人虧損2,000萬美元有人收益127倍,https://m.cls.cn/detail/909873
72. 大摩成GBTC最大持有者!今年首季砸2.7億美元投資比特幣現貨ETF,https://news.cnyes.com/news/id/5564904
73. MicroStrategy 最新持倉曝光!這些中國上市公司也大膽押注加密資產,https://blockcast.it/2023/08/15/chinese-companies-that-purchased-bitcoin/
74. 上市公司買比特幣帳面勁賺4億 博雅互動預告添食 今再升30%、三日累升1.4倍,https://reurl.cc/OMKZW7
75. 實德環球看好比特幣 待價穩再買,https://www.tkww.hk/epaper/view/newsDetail/1403422978900889600.html
76. Eric Balchunas@X,https://x.com/EricBalchunas/status/1791079436953022885
77. bitcointreasuries.net,https://bitcointreasuries.net/
78. WHO OWNS ALL THE BITCOIN?,https://reurl.cc/xarbqb
79. 比特幣現貨淨流入,https://sosovalue.xyz/tc/dashboard/Total_Crypto_Spot_ETF_Fund_Flow
80. BlackRock (IBIT)每日淨流入,https://sosovalue.xyz/tc/bigChart/Etf_NASDAQ_IBIT?title=BlackRock%20(IBIT)&coin=BTC
81. The gold 10T market cap came around due to inflation hedging and not industrial use, remainder for the year would be very interesting for crypto with a falling BTC dominance.,https://9gag.com/gag/aAGB9mp
82. Global Gold Market Capitalization Hits US$ 15 Trillion in March 2024,https://posts.voronoiapp.com/markets/Global-Gold-Market-Capitalization-Hits-US-15-Trillion-in-March-2024-809
83. HODL15Capital@X,https://x.com/HODL15Capital/status/1804706507310715313
84. HODL15Capital@X,https://twitter.com/HODL15Capital/status/1804683446997913750/photo/1
85. SoSoValue Spot Bitcoin ETF Flows,https://sosovalue.xyz/tc/dashboard/Total_Crypto_Spot_ETF_Fund_Flow
86. SoSoValue BlackRock (IBIT),https://sosovalue.xyz/tc/bigChart/Etf_NASDAQ_IBIT?title=BlackRock%20(IBIT)&coin=BTC
87. SoSoValue Grayscale Investments(GBTC),https://sosovalue.xyz/tc/bigChart/Etf_NYSE_GBTC?title=Grayscale%20Investments(GBTC)&coin=BTC
88. Spot Bitcoin ETF Flows,https://www.theblock.co/data/crypto-markets/bitcoin-etf/spot-bitcoin-etf-flows
89. Tether will allocate up to 15% of profits to buy bitcoin,https://btcbit.net/news/tether_will_allocate_up_to_15_percents_of_profits_to_buy_bitcoin/
90. Tether Reportedly Bought 8.9K Bitcoin for $380M, Remaining 11th-Largest BTC Holder,https://www.coindesk.com/markets/2024/01/18/tether-purchased-another-89k-bitcoin-for-380m-remaining-11th-largest-btc-holder/
91. Did you know? The Chinese government is the second-largest Bitcoin holder,https://www.cryptopolitan.com/chinese-government-holds-bitcoin/
92. 不爲人知的另一面!原來中國從未完全禁止加密貨幣,https://hk.investing.com/news/cryptocurrency-news/article-455508
93. 突發重磅宣佈!中國偵破全國「加密貨幣第一案」 涉案流水4000億元待沒收,https://hk.investing.com/news/economic-indicators/article-357702
94. 比特幣國家持有量排名:美國以21萬枚居冠!中國居次,第三名出乎意料…,https://www.blocktempo.com/countries-holding-the-most-bitcoins/
95. 中國是比特幣巨鯨!禁令下的真相:國庫持75億美元加密資產、仍有3000萬活躍用戶,https://hk.investing.com/news/economic-indicators/article-320431
96. Bitcoin worth £1.4bn seized after ex-takeaway worker tried to buy £23m mansion, court hears,https://reurl.cc/NQ7mRm
97. 英籍華裔擁6.1萬枚比特幣 助中國詐騙犯洗錢罪成,https://www.rfa.org/cantonese/news/uk-chinese-03252024125444.html
98. 薩爾瓦多已開採 473 枚 BTC,比特幣投資總額達 3.56 億美元,https://abmedia.io/el-salvador-mined-473-btc
99. 又有新狂舉!薩爾瓦多成立比特幣銀行,狂總統布格磊投資比特幣暴賺的非典型經濟策略,https://reurl.cc/aqWm57
100. 薩爾瓦多靠火山地熱3年挖出474枚比特幣,真的每日定投BTC,https://www.blocktempo.com/el-salvador-mined-nearly-474-bitcoins/
101. 無懼市場疲軟行情!薩爾瓦多堅持 DCA 購買計劃,一天買一顆比特幣,https://zombit.info/el-salvador-bitcoin-dca-strategy/
102. 「最幸福國家」不丹秘密開挖比特幣!價值5,000美元時入場挖礦至今,https://www.blocktempo.com/bhutan-mining-bitcoin-for-years-since-btc-was-5000/
103. 「比特幣救了我們一家人」 一位委內瑞拉國民的真實自白,https://www.blocktempo.com/bitcoin-saved-my-family-venezuela/
104. 罕見扣押超過11000臺礦機!華人礦商注意:委內瑞拉已禁止向比特幣挖礦供電,https://hk.investing.com/news/cryptocurrency-news/article-531907
105. Bitcoin Has Saved My Family,https://reurl.cc/1v5ArG
106. 比特幣現貨 ETF「手續費價格戰」開打!灰度調降至 1.5% 仍最貴,https://blockcast.it/2024/01/09/us-potential-bitcoin-etf-providers-reveal-fees/
Article Disclaimer
No part of this article may be reproduced or publicly transmitted without the author's permission.
Disclaimer
The information provided is for personal research purposes only and does not constitute any investment advice. It should not be considered an invitation to invest or redeem any funds. Investments carry risks, and past performance is not indicative of future results. You must carefully assess your own investment decisions and bear full responsibility for any investment risks and gains or losses. The author assumes no liability or legal responsibility for any losses incurred from trades based on the information provided by this platform.
All news content and images cited in this article are sourced from publicly available news reports and are intended solely for historical documentation purposes. They do not reflect the author’s personal views or opinions. All information is derived from media reports and does not represent the author's direct perspective on the events. The content of this article is meant to provide reference and foster academic discussion, without any intention of taking a political stance or inciting controversy. If there are any questions or objections, please refer to the original news reports and their sources.





























