
近年來發熱衣及酷涼衣搶攻便利超商算是新鮮事,但使用化妝品後可以讓皮膚感到發熱或變涼早已非難事。
這次先談談使用後讓皮膚變涼的方法。
最簡單就是用「水」
無論水的來源是什麼,只要是溫度比體溫低就會產生涼感,溫度越低感覺就越涼,而水分越容易揮發也會感覺越涼。
所以同溫度下噴霧造成的涼感會比外敷來得快且明顯,而低張的水溶液也會比高張的溶液更容易造成涼感,至於像高壓噴霧的方式會清涼的更快,但如果不當使用就有凍傷的可能性。
再來就是使用揮發性高的醇類,最常見就是「酒精」
因為酒精容易揮發並會帶走皮膚表面的熱而感到涼感,很多水液狀或噴霧狀的化妝品都會添加酒精,所以使用後的涼感都會比較明顯。
再來就要使用「清涼劑」
最當用的就是薄荷醇(Menthol)丶薄荷精油及樟腦(Camphor),或是相關的成分像是menthyl lactate, menthone glycerol ketal、3-(1-Menthoxy)propane-I. 2-diol,而menthyl pyrrolidin-2-one 5 carboxylate(Menthyl PCA)是屬於表效型的清涼劑,此外薄荷屬或尤加利的植物萃取也當被當作清涼目的使用。
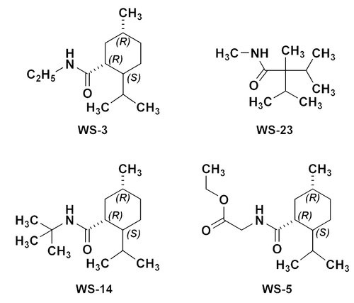
至於另外一類是非薄荷醇結構的清涼劑,稱為Carboxamide清涼劑,沒有薄荷味、揮發性也比較低,比較不會造成黏膜的刺激感,常見的有以下幾種給大家參考一下:

- WS-3: N-ethyl-p-menthane-3-carboxamide
- WS-23: 2-isopropyl-N,2,3-trimethylbutyramide
- Methyl diisopropyl propionamide
- WS-14: N-([ethoxycarbonyl]methyl)-pmenthane-3-carboxamide
- WS-5: ethyl 3-(p-menthane-3-carboxamido)acetate
這些清涼劑一般使用對皮膚並沒有傷害,也沒有特別的益處。清涼劑有減緩癢感的效果,但沒有抗發炎的功能,主要只是刺激特殊末梢神經受體造成清涼感,如果是敏感性肌膚則建議要謹慎使用,在黏膜上或眼週附近使用,也需要注意是否會造成刺激性。


















