題目敘述
題目會給定一顆二元樹的根結點,
要求我們在指定的層樹d,插入新的一層,節點值為v。
測試範例
Example 1:

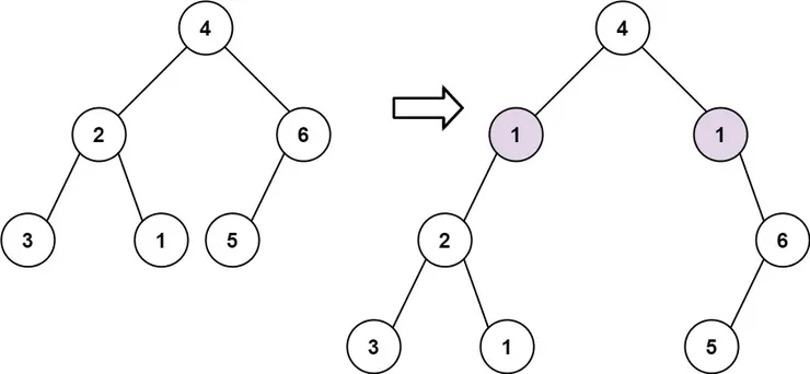
Input: root = [4,2,6,3,1,5], val = 1, depth = 2
Output: [4,1,1,2,null,null,6,3,1,5]
Example 2:

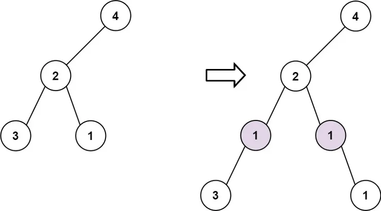
Input: root = [4,2,null,3,1], val = 1, depth = 3
Output: [4,2,null,1,1,3,null,null,1]
約束條件
Constraints:
- The number of nodes in the tree is in the range
[1, 10^4].
節點總數目介於1 ~ 一萬之間。
- The depth of the tree is in the range
[1, 10^4].
深度介於1 ~ 一萬之間。
-100 <= Node.val <= 100
節點值介於-100 ~ 100 之間。
-10^5 <= val <= 10^5
新插入的節點值介於 負十萬~正十萬之間。
1 <= depth <= the depth of tree + 1
新插入的那一層介於1 ~ 原本的層樹+1
演算法 DFS + 共通模式
題目已經開門見山,要求在指定的層樹d,插入新的一層,節點值為v。
示意圖

共通模式:
有一個很直覺的想法,先找到第d層,接著插入指定的新節點v,串接下一層d+1。
接著下方的節點都往後退一層即可。
也就是說,相當於
當d=n時,相當於往下走一層,接著在d-1層插入新節點v。
初始條件:
當d=1時,新插入的位置會取代原本的樹根,原本舊的樹根當作我的左子樹去串接。
當d=2時,剛好是樹根的下方,左、右子樹分別插入新節點。原本舊的節點通通往後退一層。
程式碼 DFS + 共通模式
class Solution:
def addOneRow(self, root: TreeNode, v: int, d: int) -> TreeNode:
if not root:
# base case: empty tree
return None
elif d == 1:
# base case: add one row above original root
return TreeNode(v, left=root, right=None)
elif d == 2:
# base case: add one row just below original root
root.left = TreeNode(v, left=root.left, right=None)
root.right = TreeNode(v, left=None, right=root.right)
return root
else:
# general case: depth >= 3
# do it in DFS with common pattern
root.left = self.addOneRow(root.left, v, d-1)
root.right = self.addOneRow(root.right, v, d-1)
return root
複雜度分析 DFS + 共通模式
時間複雜度:
從上到下掃描到第d層,最深頂多到第n層,每個節點最多拜訪一次,所需時間為O(n)
空間複雜度:
從上到下掃描到第d層,最深頂多到第n層,每個節點最多拜訪一次,所需空間為O(n)
關鍵知識點 找出共通模式
根據題意,找出插入節點的共通模式。
發現可以用遞回結構描述:
在第d層插入新節點v,等價於 先往下走一層,接著在第(d-1)層插入新節點v
Reference:








