【1-1 整數】
1-1.1 因數與倍數







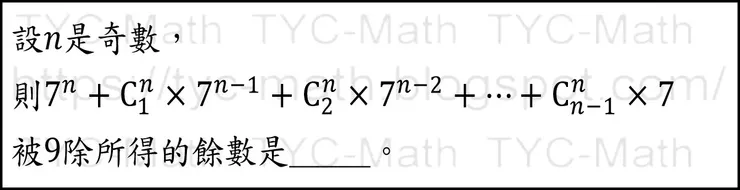
1-1.2 同餘


1-1.3 整數解


1-1.4 高斯符號




【1-2 有理數】
【1-3 實數】

【1-4 複數】
1-4.1 複數的運算



1-4.2 複數平面






1-4.3 棣美弗公式

【1-5 封閉性】

【1-6 絕對值】
1-6.1 函數值


1-6.2 函數圖形


1-6.3 應用問題

【1-1 整數】
1-1.1 因數與倍數







1-1.2 同餘


1-1.3 整數解


1-1.4 高斯符號




【1-2 有理數】
【1-3 實數】

【1-4 複數】
1-4.1 複數的運算



1-4.2 複數平面






1-4.3 棣美弗公式

【1-5 封閉性】

【1-6 絕對值】
1-6.1 函數值


1-6.2 函數圖形


1-6.3 應用問題








