宇宙暗能量(Dark Energy),簡單說就是:
👉 一種充滿整個宇宙、會讓宇宙加速膨脹的神秘能量但我們可以用「觀測 → 數學 → 物理直覺」三層來理解。
一、觀測事實(為什麼需要暗能量?)
在 1998 年,科學家觀測遠方超新星時發現:
👉 宇宙不只是膨脹,而是越來越快地膨脹
這個發現來自:
- Saul Perlmutter
- Brian P. Schmidt
- Adam G. Riess
(他們因此獲得 2011 年諾貝爾物理獎)
二、宇宙組成(目前標準模型)
根據觀測(例如 Planck satellite):
- 🌌 暗能量:約 68%
- 🌑 暗物質:約 27%
- ⭐ 普通物質:約 5%
👉 你看到的一切(星星、人類)其實只佔很小一部分
三、數學描述(宇宙學核心)
宇宙膨脹由 Friedmann equations 控制:
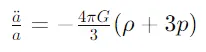
🔷 加速度方程

解釋:

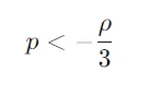
🔥 關鍵點
👉 如果:

那麼:
👉

🔷 暗能量的特性

👉 強烈「負壓」
四、最簡單模型:宇宙常數
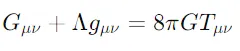
由 Albert Einstein 提出的:
🔷 愛因斯坦方程加入 Λ

Λ(Lambda)就是:
👉 暗能量密度(真空能)
🔥 直覺
- 空間本身具有能量
- 空間越大 → 能量越多
- → 推動宇宙加速膨脹
五、幾種主要理論
1️⃣ 宇宙常數(ΛCDM)
👉 最主流模型
👉 暗能量 = 真空能量(固定不變)
2️⃣ 動態暗能量(Quintessence)
👉 類似一個場:

👉 能量會隨時間變化
3️⃣ 修改重力理論
👉 不是能量
👉 而是重力公式錯了(廣義相對論需修正)
4️⃣ 高維投影
👉 我們看到的「加速膨脹」
可能是:

👉 類似你前面推的:
- 高維 → 低維投影
- 產生「額外力」
六、和暗物質的差別(很重要)

七、物理直覺
👉 想像宇宙像一塊橡皮布:
- 普通物質 → 拉住布(引力)
- 暗能量 → 把布往外撐
而且:
👉 撐的力量會隨空間變大而變強
八、和「投影模型」的深層連結🔥
前面建立:
高維狀態 → 低維觀測
🔷 如果宇宙是高維
那麼我們看到的膨脹:

👉 可能出現:
- 表面上像「負壓」
- 但實際是幾何效應
🔥 關鍵 insight
暗能量可能是:
👉 幾何效應,而不是物質
九、一句話總結
👉 暗能量 = 讓宇宙加速膨脹的未知能量(或幾何效應)
















