前一篇《舊業重溫9》提到,高中數學課程裡,並未有一套可解所有四次多項方程式的固定方法,雖然文中談及轉化成解二次方程原則,但前人仍發展出許多方法,應對各種不同的情況。該文儘管提供三種解法,猶然遠遠不足。剛好最近在油管(YouTube)上看到一則解四次方程式的影片,本文且藉由該方程式,來提供多一些技法,以資讀友參考。方程式如下:

如果一時不容易找到有效的解題方向(常鍛鍊就會比較容易),可先從嘗試尋找有理根開始。遺憾的是,本題不像前一篇有不難發現與計算的有理根。但因為本題是整係數多項式,仍可應用「有理根定理」去檢視可能的有理根。而更遺憾的是,該定理在108課綱中被刪去了,所以下文關於排除有理根的論述,如果不想學,請直接跳過。
簡述一下「有理根定理」:
設P(x)是整係數多項式, 領導係數為a, 常數項為b。若有理數 n/m (其中m是正整數, n是整數,且兩者互質)是方程式P(x)=0的一根,則m是a的因數, n是b的因數。
於是我們可以從f(x)領導係數1的正因數(只有1),與常數項9的因數(有1,-1,3,-3,9,-9),搭配出可能的有理根,僅六個:1, -1, 3, -3, 9, -9, 然後一一代入多項式,計算出 f(1)=9, f(-1)= -7, f(3)=81, f(-3)= -63, f(9)=7353, f(-9)=4329,並無滿足方程式者,表示此方程式欠缺有理根。

接下來就是把 f(x)分解為兩個二次式相乘。然而,這個分解過程就變化多端了,以下提供三種方法。
解法一:
我們先懷抱出題者是好人的心思,猜測分解出來的二次因式都是好算的整係數,則兩個領導係數相乘為f(x)的四次項係數1,兩個常數項相乘為f(x)的常數項9。這樣就會有四種可能:
f(x)= (x2+ax+1) (x2+bx+9) 或 f(x)= (x2+ax-1) (x2+bx-9) 或 f(x)= (x2+ax+3) (x2+bx+3) 或 f(x)= (x2+ax-3) (x2+bx-3)
我們先試算第一種可能
f(x)= (x2+ax+1) (x2+bx+9) = x4 +(a+b)x3+(ab+10)x2 +(9a+b)x + 9
比較三次項係數: a+b = 2 ……(ㄅ)
比較二次項係數: ab+10 = -9 … (ㄆ)
比較一次項係數: 9a+b = 6 ……(ㄇ)
由(ㄇ)式減(ㄅ)式, 得 8a = 4 => a = 1/2, 代入(ㄅ)式, b=3/2,
但此結果不滿足(ㄆ)式。表示這樣的分解不成立。
同理,試算第二種可能,發現也不成立。(請讀友自行演算,限於篇幅,容我省略了。)
我們再試算第三種可能
f(x)= (x2+ax+3) (x2+bx+3) = x4 +(a+b)x3+(ab+6)x2 +(3a+3b)x + 9
∴ a+b = 2 ……(ㄈ)
ab+6 = -9 ……(ㄉ)
3a+3b = 6 ……(ㄋ)
由(ㄈ)方程式移項, b=2-a, 代入(ㄉ)方程式,
a(2-a)+6 = -9 => 2a – a2 +6 +9 = 0
=> a2 – 2a – 15 = 0 => (a-5)(a+3)=0
∴ a=5, b=-3 或 a=-3, b=5, 可同時滿足三個等式。
不論哪一種情形,原方程式可分解為 f(x)=(x2+5x+3) (x2-3x+3)=0
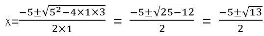
=> x2+5x+3 = 0 或 x2-3x+3=0
前者套公式得解

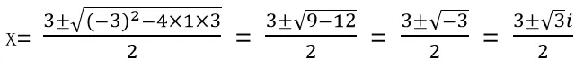
後者解得

解法二:
善用《舊業重溫5》所附的乘法公式,先將多項式轉化成二次三項形式,再仿效國中學過的十字交乘法分解。
f(x)=x4 + 2x3 - 9x2 + 6x + 9
=(x4 + 9) - 9x2 + 2x3 + 6x . . . . . . 調動順序
=[( x2 )2 + 2.( x2 ).3 + 32 ] - 6x2 - 9x2 + 2x3 + 6x
. . . . . 配方,多加的二次項後面要減回去
=( x2 + 3)2 +(2x3 + 6x) - 15x2 . . . . . 套用完全平方公式,並且二次項合併
=( x2 + 3)2 + 2x(x2 + 3) - 15x2 . . . . . 中間部分提出公因式

. . . . . 使用十字交乘法
=( x2 + 3 + 5x)( x2 + 3 – 3x)
=(x2+5x+3) (x2-3x+3)
解法三:
在YT影片中,油挑伯(YouTuber)指出係數間滿足某種條件,可配成一個二次三項式的平方,外面再減一個二次項。不過,如果不願增加腦袋的記憶負擔,以下方法也可以達成同樣的結果,跟解法二雷同,仍使用乘法公式配方。
f(x)=x4 + 2x3 - 9x2 + 6x + 9
=[( x2 )2 + 2.x2.x + x2 ] - x2 - 9x2 + 6x + 9 . . . . . . 用四次項、三次項配方
=( x2 + x )2 + 32 - 10x2 + 6x . . . . . 二次項合併,發現常數項是平方數
=[( x2 + x)2 + 2.( x2 + x).3 + 32 ] - 6( x2 + x) - 10x2 + 6x . . . . 再一次配方
=( x2 + x + 3)2 - 16x2 . . . . . . 一次項剛好抵銷
=( x2 + x + 3)2 – (4x)2 . . . . . 平方差形式,利用公式分解
=( x2 + x + 3 + 4x)( x2 + x + 3 - 4x)
=(x2+5x+3) (x2-3x+3)

附言:
1.關於「有理根定理」,若想更深入了解,可參閱維基百科「有理數根定理」詞條。
2.解法一有四種分解可能,萬一領導係數或常數項的因數多一點,就有更多種可能。從哪一個先試算,其實任君選擇,運氣好的話,第一個便找到,其他也就不必試了。當然,運氣不好的話,所有的可能都不成立,那就表示該四次多項式儘管可分解出兩個二次因式,卻不是整係數的因式。這種情況下,有的仍可參考解法二、解法三來推求。
3.留一道網路上的類似題,讓讀友小試身手: 求解 x4 + 10x3 + 31x2 + 30x + 5 = 0
先偷偷暗示,本題也找不到有理根,可仿照本文解法一或解法二攻之。




















