✍️ 文/未來的資料科學家練習生
你有沒有發現一件事?
- 拍照時,角度對了,臉就小一圈
- 整理資料時,有些數據方向「特別有代表性」
- 做模型時,我們常想抓出「真正重要的變化方向」
這些,其實都跟今天要介紹的主角有關──
👉 特徵值(Eigenvalue)與特徵向量(Eigenvector)
🧠 一、先別急,我們從一個神奇的等式開始:
Av = λv
看不懂沒關係,我們一段段拆解。
- A:一個矩陣,像是對世界做出轉換(比如壓縮、旋轉、拉伸)
- v:一個向量,就是我們要觀察的方向
- λ(lambda):一個數字,表示 v 被放大了多少倍!
這個式子意思是:
📌 把向量 v 丟進矩陣 A 裡處理,它的方向不會改變,只是被放大或縮小了 λ 倍。

Av=λv 的向量視覺圖
🧲 二、特徵向量 vs. 特徵值:誰是誰?
- v 就是「特徵向量」:方向代表了這個世界裡不會被改變的主軸
- λ 是「特徵值」:代表這個方向被放大或縮小的程度
🧠 用生活比喻來說:
你是一張紙上的箭頭(向量),遇到一陣風吹來(矩陣 A)——
- 如果你是「特徵向量」,你會被風推動,但方向沒變,只是變長或變短
- 如果你不是特徵向量,風會把你吹歪方向
🧮 三、特徵分解(Eigendecomposition):把矩陣拆成有意義的部分!
特徵值和特徵向量最厲害的地方在於:
👉 他們可以幫我們把複雜的矩陣拆解成簡單的樣子!
這個拆法叫做 特徵分解(Eigendecomposition):
A = V × diag(λ) × V⁻¹
這句話的意思是:
- A:原本的矩陣
- V:裡面裝了所有特徵向量(排成一個矩陣)
- diag(λ):對角線上是每個特徵值,其它是 0(像一個特徵「比例尺」)
- V⁻¹:V 的反矩陣,用來還原原本的 A
🧠 用動畫比喻:
- V⁻¹ → 把你轉到特徵方向的世界
- diag(λ) → 在那個世界裡把每個方向放大縮小
- V → 把你轉回原來的世界
是不是有點像資料的「翻譯 → 編輯 → 翻譯回來」?
💡 四、資料科學家為什麼要學這個?
因為現實中的資料都很亂、很大、很複雜。
我們想要找出**「真正有代表性的方向」**,這時候:
- 特徵向量 → 告訴我們「資料在哪些方向最有變化」
- 特徵值 → 告訴我們「這個方向的重要程度」
這就是很多演算法(像主成分分析 PCA)背後的數學原理!
🔁 五、簡單複習一下!
🔹 特徵向量 v:被矩陣 A 作用後,方向不變
🔹 特徵值 λ:那個向量被放大(或縮小)了多少倍
🔹 特徵分解 A = V × diag(λ) × V⁻¹:把矩陣拆成「方向 × 比例 × 還原」的組合
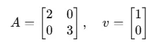
🧠 小試身手:這是特徵向量嗎?
給你一個矩陣 A 和一個向量 v:

請問:
這個向量 v 是矩陣 A 的特徵向量嗎?
✅ 解題提示:
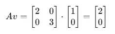
- 先計算 Av:

- 觀察 Av 是不是和原本的 v 方向相同(只有變長):

🎉 答案:
是的!這個向量是特徵向量,對應的特徵值是 λ = 2。
🚀 六、從今天開始,看懂資料的「本質方向」!
當你在玩資料分析、建模型時,不只是資料多、算力強就好。
更重要的是:
👉 你能不能「抓到最關鍵的方向」!
這就是特徵值與特徵向量的魅力。
📮 下篇我們來聊聊「PCA 主成分分析」是怎麼用這個原理,幫我們整理龐大的資料維度!
喜歡這系列內容嗎?追蹤這個專欄,讓我們一起從 0 到 1,慢慢成為資料科學家!
















