在油管上看到有人解這個題目,

讀友如果閱讀過之前的拙作《舊業重溫8--求平方根近似值的簡便方法》,可能會採取以下的計算步驟:

主解的油挑伯(Youtuber)用類似的概念,經由配方也為兩個平方根推出相同的有理數近似值,得到一樣的答案。
就本題而言,這個答案是對的。然而方法有瑕疵,亦即碰巧對了,但不保證改變數字或條件仍適用。譬如,當題目改成 √67 - √65,我們用同樣方法算算看:

也是1/8, 近似值也取成0.13。
但實際上

= 0.124038…
也就是√67-√65實際值比0.124038…小,依四捨五入法,近似值的最大可能只取到0.12,不會是0.13。
這樣的解法還有一個問題。油挑伯忽略了真值的差與近似值的差未必相等(譬如計算 2/3 – 1/7, 不論這兩個分數取幾位小數近似值,永遠都不會恰好等於11/21),萬一真值的差略小於0.125,那麼四捨五入最大只能取到0.12;萬一真值大於0.135,那麼四捨五入後要大於或等於0.14。
出問題的關鍵在於:油挑伯並未去深究近似值與真值間的誤差大小,是否能確保比0.01更小(因為要取到第二位小數),所求是否確實介於0.125至0.135之間。以下筆者就用不等式的理由,嚴謹的推導過程,來保證此結論。
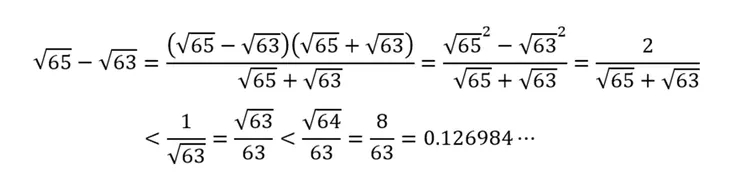
定出上限:
模仿上文的推導,

< 0.127
定出下限:

綜上討論,所求兩根數之差介於0.125至0.127之間,依四捨五入原則,故取近似值為0.13。
![[陳傳義]拍攝](https://img.vocus.cc/PcrVn79FGwrGJV4aeoDFZr5yVCGylbmtwKAkvf4n1G4/w:740/f:webp/plain/https://images.vocus.cc/fda4a09c-e4e1-4497-9197-3896638df165.jpg)
[陳傳義]拍攝
註1、註3: 依據乘法公式,請參閱《舊業重溫5--又連乘又開根號,超大數求平方根問題》。
註2: 在《舊業重溫8》中解釋過,此近似值是高估的。



















