承續前篇內容,另外使用第二種隨機性檢定方式,來判斷價格是否處於盤整盤,假若為盤整盤,價格應集中在均線位置附近或是前後相鄰的數值差異很小,數據計算方法如下
1. 假若有n個觀察值,x(1)、x(2)、...、x(n)
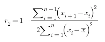
2. 在樣本數超過25時,統計檢定量如下圖1
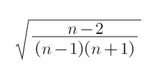
3. 且統計檢定量會趨近於常態分配,其均數為0,但是變異數為如下圖2
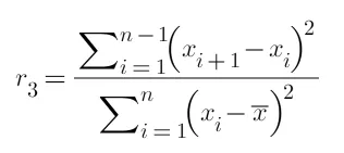
4. 當樣本數不超過25時,統計檢定量如下圖3,且需要查表,如圖4




承續前篇內容,另外使用第二種隨機性檢定方式,來判斷價格是否處於盤整盤,假若為盤整盤,價格應集中在均線位置附近或是前後相鄰的數值差異很小,數據計算方法如下
1. 假若有n個觀察值,x(1)、x(2)、...、x(n)
2. 在樣本數超過25時,統計檢定量如下圖1
3. 且統計檢定量會趨近於常態分配,其均數為0,但是變異數為如下圖2
4. 當樣本數不超過25時,統計檢定量如下圖3,且需要查表,如圖4

























