承續前篇,透過觀察統計檢定量的公式,隨機性的檢定是透過前、後期的資料乘積與均數差異的平方,取其比值大小最為判斷,現在透過更為高階的動差概念,來討論價格資料是否屬於盤整型態,其中以動差的視角來看,均數屬於一階動差、變異數屬於二階動差、偏態屬於三階動差、峰態屬於四階動差,相關公式詳列如下

由4階動差,峰度的計算過程來看,若價格移動方向為具有趨勢時,則價格的分配情況應為低闊峰,峰值應屬較小;反之,盤整盤出現時,大量的價格散落於相同的水準附近,峰值就會變大!
所以,趨勢交易策略構想.1
作多:峰度向下穿越 0,且偏態大於零,且波動度大於設定的門檻值
作空:峰度向上穿越 0,且偏態小於零,且波動度大於設定的門檻值
逆勢交易策略構想.2
作多:峰度向上穿越 0,且偏態小於零,且波動度大於設定的門檻值
作空:峰度向下穿越 0,且偏態大於零,且波動度大於設定的門檻值
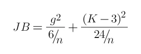
當然本文介紹的重點是Jarque-Bera常態分配檢定,對時間序列的價格數據逐一做JB檢定,每當新進價格數據出現後,對固定長度的數據資料作檢定,只要仍符合常態分配檢定,就判斷目前的價格型態仍為盤整,反之則視為有趨勢盤出現,JB的統計檢定量如下,其中的S就是三階動差、K是四階動差,JB統計檢定量會漸進趨於自由度為2的卡方分配(5.9915),只要價格數據不符合常態分配,該統計檢定量的數值就會大幅超過零,從而拒絕虛無假設,該虛無假設為資料數據符合常態分配

MC策略程式碼請參考如下
Input:JBLen(30);
Vars:g(0),K(0),JB(0);
g=Skew(High,JBLen);
K=Kurtosis(High,JBLen);
JB=(Power(g,2)JBLen/6 + Power(K-3,2)JBLen/24);
If JB cross over 5.9915 then begin
Buy next bar at High stop;
SellShort next bar at Low stop;
End;



















