價格數據可透過隨機性檢定方式,以判斷行情是否在盤整盤狀態。假若行情為盤整盤,前後價格應該偏向漲跌互見的形式;反之若為趨勢盤,則前後價格應該偏向漲、漲、漲與跌、跌、跌的連續形式。
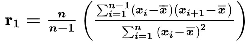
統計方法如下 : 假設有一系列的觀察值X(1)、X(2)、...、X(n),系列相關係數與統計檢定量定義如下
當樣本數超過30,則該統計檢定量近似於標準常態分配,反之樣本數未超過30則需要查表(如下)。若是統計檢定量超過臨界值,則拒絕虛無假設。其中虛無假設系列觀察值為不相關

例如有股價如下: 69.76、67.88、68.28、68.48、70.15、71.25、69.24、71.82、71.27、68.79、68.89、69.24、69.86、68.35、67.61、67.64、68.06、68.72、69.37、68.18、69.35、69.72、70.46、70.94、69.26、70.20,共計26筆時間序列數據,計算後統計檢定量為19.981/34.169=0.585,臨界值約為0.276,因此拒絕虛無假設,該序列相關性達顯著水準

















