問題如下 :
1. 有一個隨機碼,長度為5個不重複的數字及小寫英文字母所組成,
例如 e2k9z、ju72d、...,共有一萬筆數據,請設計方案,檢查是否有重複出現的隨機碼
2. 僅能使用 Python 程式碼作為運算
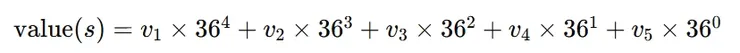
方法.1 : 將此隨機碼字串視為36基數的數(0~9、a~z,共計36個樣本空間),也就是36進位的意思 !!

字串對應的整數
方法.2 : 創造一個5維空間的矩陣,將隨機碼視為矩陣各維度的座標,依次填充,據以判斷是否有重覆的隨機碼出現
方法.3 : 利用稀疏矩陣之字典方式,將宣告的隨機碼給予存放,並驗證是否有重覆值
方法.4 : 使用 Python 內建的 duplicates函數,進行比對是否有重覆值
方法.5 : 運用 XOR方法,進行比對是否有重覆值
方法.6 : 使用 Enumeratiom枚舉查詢方式,取代ASCII字元編號之 char、ord 之逐次運算
參考 : XOR 運用 : 找出單一數字(Two Number)
https://ithelp.ithome.com.tw/articles/10213278?sc=pt












