前導
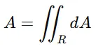
在本節中,我們將介紹如何利用雙重積分來計算平面上有界區域的面積。
如果我們在雙重積分中令 f(x, y) = 1,則我們就變相的是在計算面積,即將每個小矩形的面積加總起來,近似整個區域 R 的面積。因此,我們將區域 R 的面積定義為:

範例講解1
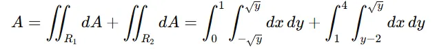
求由拋物線 y = x2 和直線 y = x + 2 所圍成的區域 R 的面積。
若我們先對 x 積分,再對 y 積分,則區域 R 會拆分為兩部分 R1 和 R2,如下圖:

面積的雙重積分形式為:

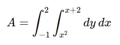
若改變積分順序,先對 y 積分,再對 x 積分,則:

區域 R 的面積表示為:

這種積分方式只需一個積分式,計算上更為簡單。
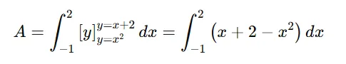
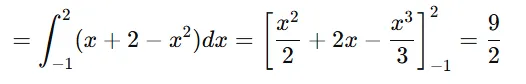
最後我們實際計算數值:

算後算出答案:

所以說,結論為:
- 改變積分順序可以簡化運算。
- 雙重積分中,選擇適合的積分順序是實務上常用的技巧。
平均值(Average Value)
對於一個單變數函數,其在封閉區間上的平均值是:「函數在該區間上的積分」除以「該區間的長度」。
相似地,對於一個定義在平面上有界區域的二變數可積分函數,其平均值定義為:「該函數在區域上的雙重積分」除以「該區域的面積」。
舉個例子:
若 f(x, y) 表示一塊薄板上某點的溫度,那麼其在區域 R 上的雙重積分除以面積,就是這塊薄板的平均溫度。
範例講解2
求函數 f(x,y) = x cos(xy) 在矩形區域:

上的平均值。
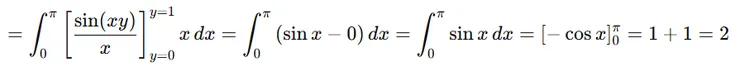
首先計算 f(x, y) 在區域 R 上的雙重積分:

先對 y 積分,這是以 x 為常數的積分:

最後,我們知道:
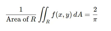
- 區域 R 的面積為 π
- 所以函數 f(x, y) 在區域 R 上的平均值為:




















