![[陳傳義]拍攝](https://resize-image.vocus.cc/resize?norotation=true&quality=80&url=https%3A%2F%2Fimages.vocus.cc%2F24b009e2-b4fa-4cc7-a530-86f51b4deb98.jpg&width=740&sign=MD7rojxhzOJVe80UTEsZUQIqVV9H3Vx2FnITLNEwJcI)
[陳傳義]拍攝
前言
在YT上常看到求解幾何問題的影片,我最先想到的多半是高中數學的工具,因為鄙人在高中比在國中教學更久。繼續把影片看下去,許多油挑伯(Youtuber)用的是古典幾何方法,國中數學層級。古典幾何常用的解題工具包括全等、相似、比例線段、畢氏定理等;而高中數學裡,解決幾何問題的工具多了方程式、三角函數、向量等。不少古典幾何題須無中生有作輔助線,這大概是最困難的,須多學習多演練,見多識廣方可觸類旁通,否則常常想破腦袋也找不出辦法。而用高中數學的方法則不必如此麻煩。且舉以下YT上的題目為例,分別藉國中、高中的方法來解題,從中我們可以體會到,隨著知識增加,工具庫擴大,將越有輕鬆裕如之感。
題目:(參考下圖)

已知在△ABC中,∠B為直角, D在BC邊上,
線段AD平分∠BAC, 線段CD長為2, AC邊長為6,
試求△ABC面積。
思考:
國小就學會了三角形面積=底×高÷2,
而直角三角形最好的選擇就是把直角的兩邊當底和高,所以我們可把求AB與BD兩線段的長當目標。怎麼下手?關鍵須先得出該兩線段的比例,端賴 "AD平分∠BAC "這個條件,援引「角平分線性質」,或到高中延伸出的「內分比定理」來達成。
解法一: (國中古典幾何方法)

作DE線段垂直AC 於E,
∵AD平分∠BAC, BD⊥AB,
∴線段BD長 = 線段DE長 (角平分線性質)
在△ADC中,如果選擇DC當底,高就是AB長;
如果選擇AC當底,高就是DE長,
∴△ADC面積 = DC長×AB長÷2 = AC長×DE長÷2
∴ DC長×AB長 = AC長×DE長 = AC長×BD長
引用已知條件, 得 2×AB長 = 6×BD長
∴ AB長 = 3×BD長
假設BD長=s, 則AB長=3s,
由於△ABC是直角三角形,當然要想到畢氏定理,
AB2 + BC2 = AC2
∴ (3s)2 + (s+2)2 = 62
32s2 + (s2 + 2×s×2 + 22 ) = 36 (指數律以及完全平方乘法公式)
9s2 + (s2 + 4s + 4) – 36 = 0
10s2 + 4s – 32 = 0 (合併)
5s2 + 2s – 16 = 0 (係數同除以2)
(5s – 8)(s + 2) = 0 (十字交乘因式分解)
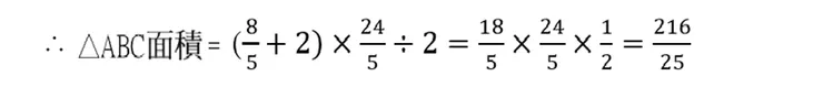
∴ s = 8/5 或 -2 (因線段長為正數,故不合)
即 BD長= 8/5, 則 AB長= 3s = 24/5,

解法二: (高中三角函數方法)
我們可以先用「內分比定理」(註)來得到AB長與BD長的比例。
∵AD平分∠BAC,交BC邊於D點,
∴ BD長:DC長 = BA長:AC長
依據已知條件,得到
BD長:2 = BA長:6 (內項交換,比例仍相等)
∴ BD長:BA長 = 2:6 = 1:3
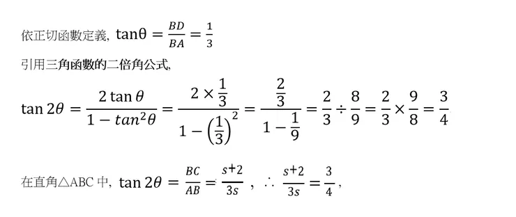
在直角△ABD中, 設∠BAD=θ, BD長=s, 則∠BAC=2θ, BA長=3s

交叉乘, 4(s+2) = 3(3s) ,
乘開,移項,同樣解得 s = 8/5 。
後續求面積的過程就跟解法一相同,容我省略了。
註:
往昔「內分比定理」放在國中教 ,不知道108課綱基於甚麼理由搬到高中來。其實,國中教過「角平分線性質」之後,很容易推演得出這個結論,對於可以輕鬆學習古典幾何的國中生,不致構成負擔。這個定理是有用的工具,如果學生程度夠,我倒建議國中的老師先教,學生先學。所以,在此附上古典幾何的證明,供讀友參考。

已知: AD平分∠BAC,交BC邊於D,
求證: BD長:DC長= AB長:AC長
(參考附圖)
證明:
△ABD中,如果選擇BD當底邊,高就是AG, 如果選擇AB當底邊,高就是DE,
∴ △ABD面積 = BD長×AG長÷2 = AB長×DE長÷2 …(ㄅ)
△ADC中,如果選擇DC當底邊,高也是AG, 如果選擇AC當底邊,高就是DF,
∴ △ADC面積 = DC長×AG長÷2 = AC長×DF長÷2 …(ㄆ)
又∵D在∠BAC的平分線上,到兩邊的距離相等,
∴ DE長=DF長 …(ㄇ)
根據(ㄅ) (ㄆ) (ㄇ)三項結果,得出
△ABD面積:△ADC面積
= (BD長×AG長÷2):(DC長×AG長÷2)
= BD長:DC長 ……(ㄈ)
(前後項同乘或同除以一數,比例仍相等)
△ABD面積:△ADC面積
= (AB長×DE長÷2):(AC長×DF長÷2)
= (AB長×DE長÷2):(AC長×DE長÷2)
= AB長:AC長 ……(ㄉ)
由(ㄈ) (ㄉ)結果,
∴ BD長:DC長= AB長:AC長



















