今天是美西時間(6/22), 下週有兩件比較重大的事件, 還有一件影響美股大盤較為普通的事件.
兩件比較重大的事件就是: 1) 6/26美光盤後公布本季財報 2) NVDA 6/26召開股東大會, 一件普通的事件就是6/28的 Core PCE經濟數據發佈.結論:
NVDA股東會後股價的走勢預測操作建議:
- 大家都擔心NVDA股價漲幅已大,很多人有恐高症(股價漲多就是利空?), 目前我們觀察最大的利空因素就是內部人士申報持股, 短期可能會因此股價做乖離過大修正
- 由於各項基本面的支撐, 我們相信半導體以及AI景氣長線尚未見頂, 因此我們建議長線投資人可以參考產業景氣週期循環為投資重點, 股價若有中期乖離過大修正回檔, 建議以週K線20MA支撐後為買進適合點位.
- 短線交易者, 下週一到週二是非常好的觀察時間, 短期股價若跌破日K 線20 MA就暫時觀望, 等站回20MA才考慮買進做多.
MU財報後股價的走勢預測操作建議:
- 由於我們調查以及試算MU的本季財報, 我們並沒有太多的信心, 但由於MU掌握目前的AI產業中最重要的記憶體HBM的技術, 在AI浪潮下, 很有機會在本次電話會議時CEO會有樂觀指引, 因此我們即使對本季財報悲觀, 但也沒有太多信心建議投資人目前出脫持股。
- 最好的策略就是等週三盤後財報公布後, 再考慮進一步的投資策略, 如果看好MU在下半年因消費性電子復甦與HBM技術解決造成良率提升, 就可以長線繼續持有, 如果財報表現不如預期, 且展望不佳, 就需要考慮降低持股的風險。
前言:
本文我們主要聚焦在兩大事件來分析, 因為這兩家都是跟半導體與AI具有高度相關的公司, 目前半導體股上周回檔修正, 如果這兩家公司股價表現不錯的話, 有機會讓美股短期止穩. 我們分成兩大部分討論:
第一部分分析NVDA股東大會後對股價的影響:
我們就不討論NVDA基本面了, 市場大概都已經知道NVDA基本面如何, 我們想討論的就是NVDA股東會後股價如何發展?目前就是波段的高點嗎?這應該是大家比較想知道的事.
以下我們從幾個層面來討論:
1.歷史的股東會跟股價的關聯性
2. 產業景氣循環的基本面是否有基支撐
3. 籌碼面的變化
過去歷史的股東會前後股價走勢分析:
我們根據過去四年NVDA召開股東會後股價的表現做一個表個比較:

說明:
- 依照NVDA股東會後的股價表現, 過去四年的股東大會後,只有在2022年表現不佳, 其他年份表現都不錯,對比2022年的半導體產業屬於衰退週期, NVDA的股價表現在2022年跌幅高達50%左右, 其實2022年在股東會後的股價表現, 其實也就不太奇怪了.
- 不過今年有AI 的行情, 所以我們會擔心股東會前NVDA股價過去股價已經漲那麼多了, NVDA股價還會再漲嗎?
我們不確定今年會不會延續漲勢, 但我們一樣用過去四年NVDA在股東會前的股價表現搭配產業週期來跟各位說明, 大家也許就比較有一個基準:

說明:
由上表我們可以看出來, NVDA在股東大會前一週與一個月的股價表現:我們發現除了2022年股價股東大會前一週(半導體產業進入衰退調整期)表現不好外, 其他三個年度, 在一個月前股價表現都有8~21%漲幅之多,甚至到了前一週股價也表現相對強勢, 對照之前的表格, NVDA即使前面漲了一大段, 到了股東會後, 股價還是繼續上漲的機率較大.
NVDA個年的股東會重點探討:
- 接下來我們在坐時光機回到過去的每一年, 把當初股東會的重點發表整理出來, 大家也就更明瞭為什麼NVDA股價在股東會上CEO討論什麼重點, 會造成股價上漲/下跌的大概原因:

- 我們回到現在的時間點(2024年), NVDA在今年召開股東會前的股價表現統計如下:

如果比對過去四年的股東會股價表現, 2024年應該比較像2020年的感覺:

計算2020年1/2開盤價到2020/6/9的股東大會, 當年度NVDA漲幅也高達47%; 如果採更極端一點的資料, 我們從疫情下殺的低點開始計算(因為疫情Fed有緊急大規模寬鬆貨幣政策)到2020/6/9股東會, NVDA漲幅也高達163%, 相較今年2024年以來的漲幅仍低於2020年貨幣寬鬆後帶動NVDA的漲幅.
模擬2024年NVDA股東會的股價以及之後的表現:
我們抓2020年度的NVDA股價來對比模擬2024今年股東會後NVDA的股價表現, 極有可能股價還是正面發展的機會較大:

基本面的驗證
雖然統計數據告訴我們NVDA股價有機會在股東會後有正面表現的機會, 但我們還是需要透過基本面的佐證來分析:
我們都知道2020年由於Fed貨幣政策大放水後, 造成美國景氣V 型反轉, 也對應半導體景氣反轉, 當時半導體復甦的動能就是消費性電子與EV汽車半導體, 對比現在由AI拉動的半導體復甦不完全相同, 但有些類似的地方.
- 總經環境驗證:
我們整理出2020和2024的總經與政治環境背景下的相同與相異點

產業面的驗證:
我們利用觀察與NVDA最重要的半導體景氣走勢, 來確認未來一個月甚至下半年的股價趨勢.
說明:
1)引用財經M平方的知識:半導體週期性景氣循環判斷, 我們先分析2020年狀況, 之後再驗證是否2024年產業基本面會有機會與2020年相似?
回顧2020年半導體產業週期概況:
2020年, 我們知道當時帶動半導體景氣主要是EV, 消費性電子和5G, 雖然也有部分的AI, 但比重不大

2) 由下圖, 我們看到2020年半導體出貨金額年增率持續往上, 幅度雖不及2010年大, 但整體趨勢明顯向上

3) 觀察2020年全球的半導體出貨年增率依然是呈現向上趨勢, 基本面支撐NVDA股東會後的股價, 由於第三季開始才是美國電子業的旺季來臨.

2024年的情況又是如何?
1) .回到2024年, 由下圖我們一樣看到半導體出貨年增率持續往上(全球的半導體出貨金額也是呈現相同趨勢)

說明:
我們初步有理由相信, 今年NVDA股東會後的半導體景氣基本面也是可以支撐股價, 目前的年增率在AI產業革新的加持下, 目前美國的半導體設備出貨金額年增率已經超越2020的當年度高點.
我們從上圖可以觀察上次半導體景氣的谷底約在2019-2020之間, 高點落在2022(以藍色現為觀察), 推論到本次半導體低點為2023年, 我們可以相信半導體產業週期景氣高點位於2025年.
2) .我們再把費城半導體指數加入分析, 試圖利用產業景氣週期循環, 預測本波半導體股價高點

說明:
- 由上圖可觀察, 發現上次2020年費半股價落後半導體設備出貨年增率約晚一個月見頂, 依據本次半導體景氣循環的高點, 我們預估會落在2025年的5月-6月(基期效應影響).
- 今年下半年半導體景氣上升格局應該還沒有結束(包括AI PC 與 AI Phone等消費性產品), 應該會在今年Q3-Q4會有一波消費性電子的拉貨潮, 也把半導體出貨金額年增率順勢衝上最後一波.
- 到明年(2025年)Q1雖然出貨金額會下滑, 但由於2024年Q1基期較低下, 年增率依然會在高檔, 到2025年Q2之後就有機會往下,相信NVDA如此, 類似TSMC以及他重要半導體股價也是應該如此的趨勢, 只是期間內的漲跌幅表現, 會依各別股票屬性與業績會有所不同.
補充:
影響股價的主要是年增率的高低和反轉點, 不是看絕對金額
我們經過統計分析和基本面分析後, 雖然可以得出NVDA股東會後股價仍有正面表現的機會, 但我們試圖透過其他層面來深入分析, 以加深我們持股的信心與否:
籌碼面分析
- 目前觀察過去三週機構大資金並沒有撤出, 主要逢高調節都是中小賣單為主, 過去一週, 大單仍買超9億元NVDA(有可能是XLC調倉增加比重)
- 以6/28到期的option來觀察, NVDA股東會後的股價波動不大(雖然IV隱含波動率高於歷史波動率水準HV), 代表市場看多和看空的人不多, 多是走一步看一部的感覺



目前預測未來一週NVDA股價有90.5%的機率上下波動幅度為4.9%, 波動幅度沒有太大

情緒面分析: 觀察股價是否呈現過熱?
我們發現由情緒指標來觀察, 除了一班投資者對於NVDA股價的恐高外, NVDA股價在高檔回檔兩天後, 目前社會情緒指數已經低於正常水準, 並且有偏負面的感覺, 過去情緒指標很適合觀察短期股價是否過熱, 從目前觀察過熱現象已經得到適度釋放



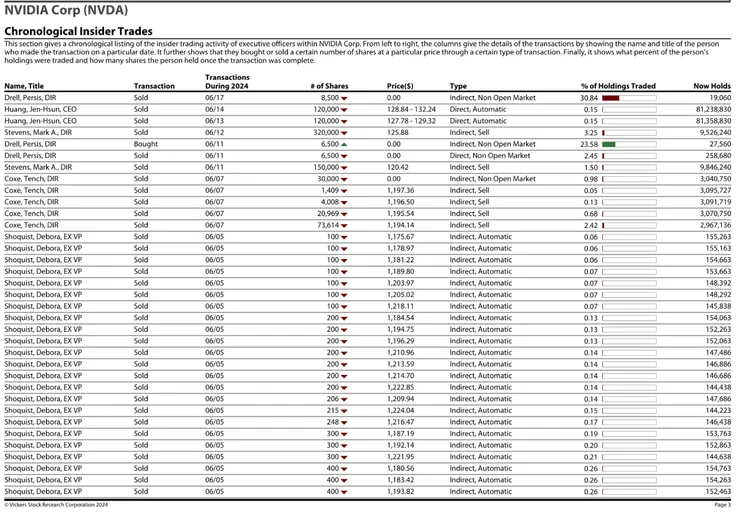
內部人士買賣動作分析:(申報出售持股)
我們觀察大家最關心大股東或公司內部人士賣股票的情況:(市場或新聞有報導CEO申報大量持股), 我們想知道這是今年特殊例子, 還是往年也有類似的例子, 以及內部人士申報後對股價中長期的影響?是否見到相對高點?
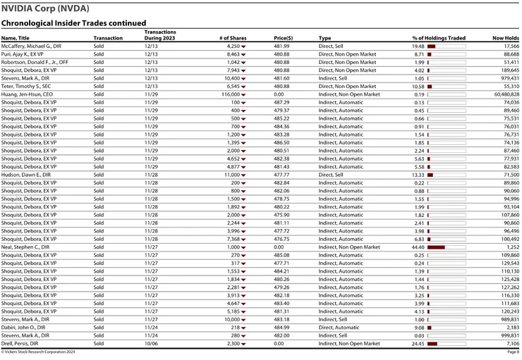
今年我們確實看到比往年大股東賣股的跡象, 尤其以CEO賣股數最為龐大, 其他公司內部人士也有賣股票, 相比2023年前一年的資料, 2023年股東大會完後, 公司內部人士還有買進股票, 但在2023年11-12月份後就持續趁股價高檔拋售持股, 不過這並不代表公司內部人士賣股票之後, 股價隨之見高點反轉, 因為2023年11-12月份賣股票後, 2024年NVDA股價開啟新的一輪大多頭, 因此過往來看, 這些在2023年11-12月賣股的內部人士相對都賣在最低點
首先, 2024年六月內部人士申報轉讓持股(除了CEO外, 其他幾位高層人士也賣不少)

對比前一年(2023)的股東大會, 內部人士持股申讓情況:
以2023年6/22股東會召開後來觀察, 公司內部人士有買入NVDA的股票, 但股數相對較少

其次, 我們發現NVDA公司內部人士在2023年也在11-12月陸續申報出售持股, 但隔年2024一月起開啟一輪大多頭, 相對之下剛好賣在最低點, 因此我們相信影響中長期NVDA股價, 主要還是以基本面為主

Sell Side 投資評等分析:
- 最後我們觀察Sell Side的研究報告, 是否因為NVDA股價漲幅已大, 然後就下調投資評級為中立或觀望?答案並沒有.
- 觀察前20位華爾街Sell Side評等最高前20大分析師, 只有一位給予NVDA 持有評級, 其他全部為買進.
- Sell Side沒有下調評等, 短期我們比較放心很多政府的投資機構不用遵循研究報告調整持倉比重, 政府退休基金或被動基金大量降低持倉的機會不大

NVDA股東會後股價的走勢預測操作建議:
- 目前大家都擔心NVDA股價漲幅已大, 很多人有恐高症, 目前我們唯一觀察最大的利空因素就是內部人士申報持股, 市場可能會因此股價做乖離過大修正
- 由於各項基本面的支撐, 我們相信半導體以及AI景氣長線尚未見頂, 因此我們建議長線投資人可以參考產業景氣週期循環為投資重點, 股價若有中期乖離過大修正回檔, 建議以週K線20MA支撐後為買進適合點位.
- 短線交易者, 我們建議日K線如果止穩也可以做多買進, 下週一到週二是非常好的觀察時間, 短期股價若跌破日K 線20 MA就暫時觀望, 等站回20MA才考慮買進做多. 下週還有一個變數就是MU的財報(盤後發布), 因此建議MU財報後週四收盤前再考慮是否做多NVDA(MU和NVDA事件在同一天, MU基本面有一些雜音出現, 建議等週三盤後再觀察, 以下會說明關於MU的基本面)
--------------------------------------------------------------------------------------------
第二部分: 關於MU週三即將公佈的財報
下週三(6/26)即將公佈MU的財報, 目前就MU財報來簡單分析一下利多與利空的部分:
首先分析HBM3對美光的財報影響
我們相信HBM是未來AI的記憶體主流, 這點長線沒有改變, 但由於短期許多技術上的因素無法克服, 記憶體大廠的良率仍無法大幅提升, 甚至先進封裝產能不足下, 影響HBM的生產供貨.
- 有研究機構在MU財報前先開了第一槍下調MU投資評等, 主要原因就是:
Aletheia Capital對美光HBM3E的擔憂主要集中在技術實現的複雜性、高性能需求下的熱管理和功耗問題,以及良率低下的挑戰。這些技術上的問題增加了美光在執行其HBM3E策略時面臨的風險和不確定性。將會影響本季度的財報獲利
經過我們的調查:
- 目前美光的良率大多在65%-75%左右, 海力士自己宣稱已經達到80%, 之後有去調查其他相關廠商, MU的良率一直無法提升.
- 經過我們家大人試算在良率65%預估下, HBM3對於MU本季EPS貢獻只有0.0092
補充說明:
以下至製造HBM的技術難點, 有些目前已經逐漸克服, 有些技術聽說要等半年後
- HBM3E的製造過程中,良率指的是從一個矽晶圓中成功生產的半導體芯片的數量。由於HBM3E的堆疊架構複雜,涉及多層記憶體層和通過矽通孔(TSVs)的層間連接,這增加了製造過程中出現缺陷的可能性。
- TSV製造過程中,矽晶圓需要被削薄到50微米或更薄。這樣的薄度使得晶圓非常脆弱,容易因為應力不均而變形,這種變形會在晶圓被切割成單個晶片後持續存在,導致晶片彎曲,影響後續的封裝和連接。在晶圓的前後表面應用不同的介電材料和金屬層會導致應力不均,進而引起晶圓變形。
- 熱和功耗問題:三星的HBM3和HBM3E記憶體堆疊在NVIDIA的測試中未能通過,主要是因為過熱和功耗問題。在熱壓接(TCB)過程中,必須使用真空夾具將變形的晶片固定在平坦的加熱表面上,以確保連接的一致性,這就增加技術的難度。
- 在多層晶片堆疊中,連接厚度的一致性對於確保電氣連接的可靠性至相當重要,如果連接厚度過高,焊接點可能會變細,減少連接的橫截面積,影響可靠性;如果連接厚度過低,銅柱焊點可能會因焊料擠出而短路。
- 在多層晶片堆疊中,填充材料的應用變得更加困難,隨著堆疊層數的增加,毛細填充變得越來越困難,需要更高效的填充技術。若使用非導電膠膜作為填充材料,可以在切割前真空層壓到晶片表面,但這增加了製造成本和工藝複雜性。
根據SK Hynix的報告,其HBM3E的良率已接近80%(韓國自己宣稱),而Micron目前的HBM3E良率約為65%,沒有進一步大幅提升,頂多在70%左右。美光表示今年第二季開始出貨 24GB HBM3e,目前僅小量出貨,獲利有限,而且市占率相當小。

我們計算Q2 HBM給予美光最樂觀的模型預估, 結果對美光的業績貢獻相當有限
預估HBM3這部分對美光的EPS 本季貢獻:
- 稅後淨利:10,072,500
- 每股盈餘(EPS)貢獻為 0.0092。這個結果表明在65%良率的條件下,HBM3E的生產對美光每股盈餘的貢獻確實非常有限,對公司整體財務表現影響不大。
小結:
- 我們聽到MU的HBM3有被NVDA退貨, 但MU的說法是說只有部分要經過修正更改, 代表送NVDA認證沒有通過,還有其他很多的問題, 有的問題六月中詢問已經解決, 有些還沒有.所以本次財報不要奢望HBM3對美光有多大的獲利貢獻
- 65%的良率可能並不理想,但在高需求、高價格的市場中,公司雖然可以通過提升生產效率、控制成本以及依賴技術優勢來實現小幅盈利,但一般來說,半導體行業的製造良率需要達到80%-90%才能開始穩定盈利。對於HBM這樣的高端產品,考慮到其製造工藝的複雜性,良率達到70%-80%可能才是開始盈利的最低門檻。
- 良率達到70%,公司可能接近盈虧平衡點。如果市場需求強勁且價格較高,這個良率水平下公司有望實現小幅盈利。
- 良率達到80%:大多數半導體公司會才開始穩定盈利的良率水平,HBM製造商在這個良率水平上應該能夠較為穩定地實現盈利。
回到DRAM產業(佔美光營收比重最大的部分)
DDR4現貨5-6月份價格持續下跌, 可以參考Dramexchange官網:
分析主要雖然供應商將部分生產資源從DDR4轉向HBM和DDR5,但DDR4的價格下跌主要是由於以下幾個原因:
- 庫存過剩:在轉向HBM和DDR5之前,供應商積累了大量的DDR4庫存,這些庫存需要被消耗掉,即使供應減少,市場上仍然存在大量待出售的DDR4產品 。
- 新舊代轉換期:隨著市場新一代DDR5的記憶體推出,消費者和企業對DDR4的需求逐漸減少,這近一步加深了DDR4導致了供應過剩,使價格下跌。
- 產業環境疲軟:通貨膨脹和高利率降低美國消費者對電子產品的需求。筆記本電腦和伺服器市場需求疲軟,導致PC OEM和伺服器製造商減少了DRAM的採購量 。(Q1記憶體需求並沒有增加,Q1消費性電子還是很慘淡仍在去化庫存的階段)
- 市場競爭:DRAM市場上僅剩的幾個主要製造商之間的競爭,這些公司在爭奪市場份額和利潤時,不斷採取價格戰和更先進的製程技術來降低成本和提高產量
小結:
- DRAM佔整體MU的營收比重約為74%, 而DDR4又是目前的美光的主力產品, 因此預估佔營收比重超過60%以上, 本季對MU的EPS預估為0.23元(就DDR4這部分).
- 整體觀察2024 Q2(上一季公布的財報)EPS為0.42元(GAAP), 本季有可能低於上一季獲利(或差不多於上季獲利), 目前市場共識預期為本季EPS為0.48元, 小幅高於上一季的0.42元.
市場上傳聞其他不利MU基本面短期的因素:
- HBM3E 的問題可能會導致關鍵客戶必須重新安排新產品的商業出貨,這可能會延遲美光恢復對其 HBM 產品的進程,市場擔心對美光 HBM 這一塊在之前2024 財年 (FY24E) 5 億美元收入的預測將無法順利達成。
- 美光2025 和 2026 財年擴大產能所需的資本支出 (capex) 預計會增加,將不利下一財年的獲利。
- 在專利糾紛中,美光科技被命令向 Netlist 支付 4.45 億美元,由於法院發現美光故意侵權,因此這項裁定可能會提升三倍。
- 美光執行長出售超過 500 萬美元的公司股票, 根據最近向 SEC 提交的 4 份表格,CEO在2024 /6 /18 日進行,出售總計超過 520 萬美元的美光股票。(趕在財報前出售?)

- 過去四週以來, 我們觀察到機構大多逢高出貨, 當美光股價回檔修正到回檔修正到月線時, r機構仍站在賣方調節, 尤其以上週大單賣超超過7.5億元之多
對於MU利多的因素:
- 美光的內存平均售價 (ASP) 的持續上升趨勢、AI 伺服器對 HBM 的強勁需求以及最近的盈利修正。
- 美光的自由現金流 (FCF) 自 2023 財年第一季以來首次轉正。
- Sell Side目前看多的大型投行仍佔多數:
Fox Advisors 將美光科技股票的目標價提高至 185 美元,而 Stifel 將美光科技股票的目標價提高至 165 美元。瑞銀也根據 DRAM 和 NAND 記憶體產業的上升趨勢,將其目標上調至 155 美元。
富國銀行、Fox Advisors、Stifel 和UBS 的分析師指出,結構性和長期因素、對內存定價狀況的樂觀情緒以及DRAM 和NAND 內存的行業上升趨勢等因素,將推動下半年DRAM 和NAND 記憶體的成長
- 如果MU執行長在電話會議上講許多有關HMB的技術克服以及下半年消費電子復甦前景的樂觀預期, 很有可能即使財報普通, 但有可能引起股價正面反應, 短期造成嘎空機構必須回補的行情。
MU財報後股價的走勢預測操作建議:
- 由於我們調查以及試算MU的本季財報, 我們並沒有太多的信心, 但由於MU掌握目前的AI產業中最重要的記憶體HBM的技術, 在AI浪潮下, 很有機會在本次電話會議時CEO會有樂觀指引, 因此我們即使對本季財報悲觀, 但也沒有太多信心建議投資人目前出脫持股。
- 最好的策略就是等週三盤後財報公布後, 再考慮進一步的投資策略, 如果看好MU在下半年因消費性電子復甦與HBM技術解決造成良率提升, 就可以長線繼續持有, 如果財報表現不如預期, 且展望不佳, 就需要考慮降低持股的風險。























