
🧲 特徵轉換方法
特徵轉換是調整數值型特徵分布形態的過程,幫助模型更有效地學習和提高預測性能。良好的特徵轉換可以:
- 改善數據分布:使偏斜分布更加對稱
- 降低異常值影響:減少極端值對模型的干擾
- 捕捉非線性關係:讓線性模型可以學習複雜模式
- 提高訓練穩定性:加速梯度下降收斂過程
對數變換 (Log Transformation)
對數變換可以有效壓縮大範圍的數值,使分布更加均勻,是處理右偏(正偏)數據的常用方法。

- 適用場景:
- 高度右偏(正偏)數據,如收入、房價、人口- 數據範圍跨越多個數量級- 存在極端異常值的特徵- 呈指數增長的數據
- 優缺點:
- ✅ 有效壓縮大範圍值,保留小範圍值的差異
- ✅ 降低極端值影響,穩定模型訓練
- ✅ 使乘法關係轉換為加法關係(log(xy) = log(x) + log(y))
- ❌ 不適用於負值和零值(需添加常數)
- ❌ 可能過度壓縮大值區域的差異
- ❌ 轉換後特徵失去原始尺度的直觀解釋性
平方根變換 (Square Root Transformation)
平方根變換是比對數變換更溫和的壓縮方法,適用於中度偏斜的數據。


- 適用場景:
- 中度右偏(正偏)數據
- 計數型數據(如事件頻率、出現次數)
- 比例型數據(如百分比)
- 數據範圍相對較小且全部為非負值
- 優缺點:
- ✅ 比對數變換更溫和,保留更多原始數據特性
- ✅ 對於中等範圍的數據更有效
- ✅ 計算簡單,容易理解
- ✅ 可用於零值(不需添加常數)
- ❌ 不適用於極度偏斜的分布
- ❌ 不適用於負值(需添加常數)
- ❌ 對大值的壓縮效果低於對數變換
多項式特徵構造 (Polynomial Features)
多項式特徵構造通過創建原始特徵的高階組合,使線性模型能夠捕捉數據中的非線性關係。
對於特徵 X₁, X₂,可創建:
X₁², X₂² (二次項)
X₁X₂ (交互項)
X₁³, X₂³ (三次項) 等

- 適用場景:
- 使用線性模型處理非線性關係
- 特徵間存在交互效應
- 需要捕捉複雜曲線關係
- 特徵數量較少但關係複雜的數據集
- 優缺點:
- ✅ 顯著增強線性模型的表達能力
- ✅ 可以捕捉複雜的非線性模式和交互效應
- ✅ 保持模型的可解釋性(知道具體使用了哪些特徵組合)
- ❌ 特徵數量指數級增長,造成維度災難
- ❌ 容易導致過擬合,需搭配正則化
- ❌ 增加多重共線性風險
- ❌ 計算複雜度高,需謹慎選擇多項式次數
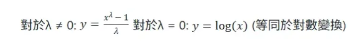
Box-Cox 變換
Box-Cox是一種參數化的幂變換方法,通過優化參數λ使數據盡可能接近正態分布。


- 適用場景:
- 需要使數據接近正態分布的情況
- 對分布形態有特定要求的統計模型
- 數據存在明顯偏斜但不確定最佳變換方法
- 線性回歸等假設殘差正態的模型
- 優缺點:
- ✅ 自動尋找最佳變換參數λ
- ✅ 包含多種常見變換(如對數、平方根)作為特例
- ✅ 可有效改善數據的正態性
- ✅ 有助於滿足許多統計模型的假設條件
- ❌ 僅適用於嚴格正值數據
- ❌ 變換後的值難以直接解釋
- ❌ 對含有零值或負值的數據需要先進行偏移
- ❌ 計算過程相對複雜
















