1.0 從函數到函算語法

1.4 函算語法
- 1.4.1 語法範疇理論導論
- 1.4.2 函算語法與函數概念
四
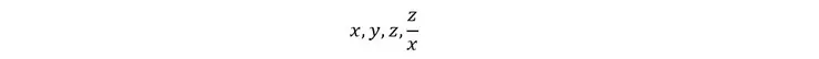
在以語構範疇為單位的語言結構上,同樣可以應用前述的函數概念或規則。其中一個最大的分別是,若以 1.4.2_4 為用作對比的例子,函算語法的論域 (domain of discourse﹕即規定所適用的範圍) 為語構範疇或語構型 (下章將會使用「語構型」一語,以取代「語構範疇」,並作解釋) 而非,譬如,整數。
在函算語法中,1.4.1 提出的 gr 的地位等同經典邏輯中肯定前件的假言推理 (modus ponendo ponens)。其重要性不單在於 gr 是函算語法中最基本的推導規則 (整個函算語法實際上就是從 gr 建立起來的﹗),更為有趣的是,gr 的推導模式與肯定前件的假言推理幾乎如出一轍。我們都知道,肯定前件的假言推理的推導模式是這樣的﹕在一假言句式 (或條件句式) 為前提之下,如同時給定該假言的前件,我們即可推導出該假言的後件﹔譬如 (P,Q 皆為命題符號)﹕70
1.4.2_5 肯定前件推理

gr 的推導模式則是﹕如果我們以一函子 (艾杜凱維茨的用語﹕分數) 為「前提」,而該函子的論元 (艾杜凱維茨的用語﹕分母) 與該函子串聯,我們即可以推導出該分數的分子。因此我們可以將 gr 寫作假言推理的模式﹕
1.4.2_6 範疇語法的肯定前件推理模式

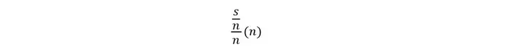
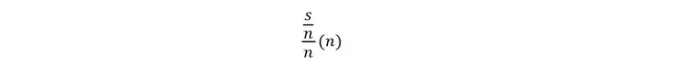
用集論的語言來表達 ,gr 就是這樣的一個函數﹕

其中的

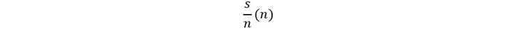
皆為語構範疇符號,並且 x, y, z 可以指謂基本範疇或函子範疇。現在的問題是﹕輸入任一的 x 是否必然輸出一個而且是唯一的一個 y ﹖答案是肯定的。譬如一個不及物動詞串聯一個以名 (詞) 構句的函子,用函算語法可表達為﹕

毫無疑問,給定任一屬於

的 (譬如英語) 語詞,串聯 (輸入) 任一屬於 n 的英語語詞,結果 (輸出) 必然是一個英語句子,即一個屬於 s 的表式。或許有讀者認為我們可以有如

的串聯,因此同一個輸入 n 給出了不一樣的輸出

。實則不然,因為

是一個有別於

的函數,給出的是另一個規則,而按後者的規則或函數 (即 1.4.2_8),輸入 n 後得出的必然而且是唯一的 s。
具備了這個基礎,我們可以進入正文,直接分析上古漢語的結構。
__________
70 假言句式或條件句式是「如果 P,那麼 Q」(If P, then Q),使用邏輯符號則一般寫作「P → Q」。「P」是「P → Q」的前件,「Q」是「P → Q」的後件。
待續



















