課輔的國中一年級學生問了以下分數運算的問題:

畢竟是3C時代的學生,不久他就在網路找到第一題的解法。
他找到的是循規蹈矩的解法(解法1):
先把帶分數化為假分數;
括號內先算,做分母通分,相減後得負12分之11;
再算前面兩項,也做分母通分,相加後得到12分之67;
最後再把算出來的兩部分合併,後項應變號成加法,答案得12分之78,
化為6又2分之1。
我給他的解法指導(解法2)比較聰明一點。因為我看到第一個與第三個分母相同,第二個與第四個分母也相同,可以善用加法的交換律與結合律(減法視為加負數)。
解法2:

先拆掉括號,注意後面負數碰到外面的負號要變 + 號。

根據加法交換律,中間兩項對調位置。

前兩項、後兩項各自合併,同分母不必先通分。

後一項是整數,直接以帶分數作答。
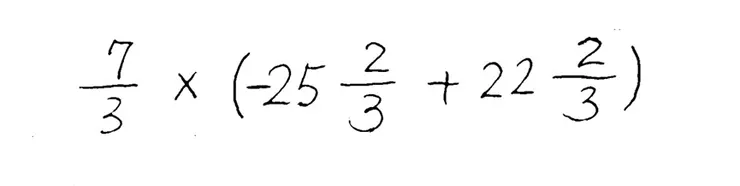
第二題
解法1:當然仍可以循規蹈矩,先乘除後加減。
先將帶分數化成假分數;
再把前面兩數和後面兩數捉對乘起來,分別得到負9分之539,以及9分之476;
再相加,分母還是9,分子是 -539+476,得 -63;
最後把9分之63約分,答案是 -7 。
解法2:前後相乘的數都有3分之7,我們要想到乘法對加法的分配律
a x (b + c) = a x b + a x c,本題要自右式等向左式。

再來是括號內先算,我們發現,分數的部分都是3分之2,一正一負抵消了,變成 -25+22,好算!

接著發現後面的3可與分母約分消去,答案很容易得到 -7。
結語:循規蹈矩的算法是萬用的原則,但這兩題命題者顯然有引導學生善用運算性質的用心,因為在不使用計算器的情況下,不必像爬過高山一般,計算龐大的數字,減輕了負擔,縮短了計算時間,並降低犯錯的機會。
學生平時應多練習解題,並多思考、嘗試不同的方法,經驗豐富了,就容易迅速找出捷徑,窺知出題者的小心思。
當然,解法2之所以比較好算,乃因命題者設計了好數字,過程中數字可抵消化小;假使數字隨便亂改,解法2可未必都會更輕鬆。






















