佇咱讀國中高中的時陣,老師代先會用雷射筆共雷射光對空氣射入水--lin,愛咱觀察光線入水會改變方向。聽候高中學著三角函數,物理老師用Snell's定律愛咱算折射角和入射角、折射率的關係。講著折射率,咱通常用光佇介質中咧行的速度來定義,光佇真空速度上緊,佇空氣中較慢一屑屑仔,佇水--lin佮玻璃速度閣愈慢。按呢折射率會當定義做真空的光速比介質中的光速的比值。
咱佇讀冊的時陣猶閣會學著色散(dispersion)的現象。意思就是無仝波長的光佇仝一个介質內面會有無仝的折射率,致到無仝色光的折射角綴咧無仝。猶毋過遮就浮現一个問題:無仝頻率的光速佇仝一个介質內底是按怎會予人看著無仝?這背後的物理機制是按怎運作的咧?
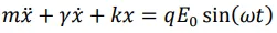
物理學家咧思考代誌,定定會根據實際的情形設定一寡條件,共問題簡化做咱有才調處理的形式。佇遮咱會當想像原子核的位置固定,電子予搝咧,這兩个之間的力佮電子偏離平衡位置的距離正比例(就是簡諧運動。實際的物理系統,通常猶會有佮速度正比例阻止質點運動的阻尼)。接紲,有光射入來這个系統,就是弦波的外力。咱若共遮个物理機制用數學微分方程完整共寫落來,就是

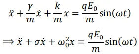
咱共方程小可整理一下

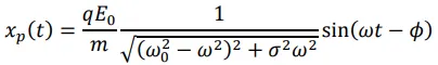
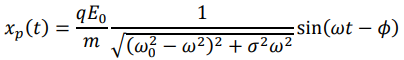
一般咱欲揣這款微分方程的完整解,會先揣等號正爿是0(無外力)的解,也就是齊次解(homogeneous solution);紲接才閣根據外力的數學形式揣出特解(particular solution)。佇遮的情形,一般解會沓沓仔綴時間衰減,到上尾仔就是特解來主導,所以特解嘛通號做「穩態(steady state)」。佇遮咱較關心穩態,代先假設穩態的形式是

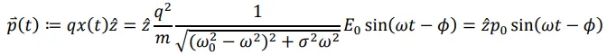
橐轉去原來的方程閣進行一寡代數的運算,最後整理予較好看咧就是

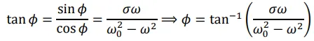
其中這个ϕ通講是外加的電磁波佮電子穩態振動的相位差

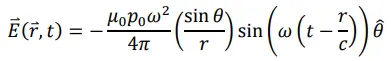
咱知影電子按怎振動了後,就會當推導電子振動產生的電磁波。根據David J. Griffiths所寫的電磁學教科書《Introduction to Electrodynamics》內底第11章的電偶極輻射推導,代先咱考慮輻射源寸尺足細而且接近原點。電子佇z方向咧來回振動,所以電偶極矩(electric dipole moment)通寫做

根據課本內底一寡數學的運算佮近似簡化,最後咱得著電偶極輻射的電場

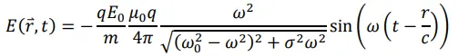
咱若考慮規鉼的電荷咧做仝款的振動,電磁波就變成是平面波,振幅就袂綴傳播距離衰減

透射這爿的電荷運動就是原本光佮電荷振動產生的電磁波相疊加

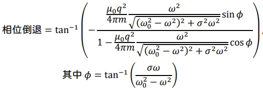
規塊玻璃會當切做幾若重,每一重玻璃攏會予電磁波的相位倒退一滴仔,致到咱整個看起來若像光佇玻璃內面走著較慢。而且咱會當看著這个相位作用嘛閣 入射光的頻率有關係,所以無仝色緻的光,相位倒退的程度無仝,看起來就是 速度無仝,所以咱就知是按怎無仝色光的折射率會無仝。
最後,電荷振動產生的電磁波佮入射光的電場相疊是按怎會予相位倒退, 這著愛用三角函數運算來證明。經過一寡哩哩硞硞的推導過程,孤一重電荷振動的電磁波佮原來入射的電磁波相疊,予相位倒退會當寫做按呢

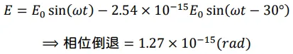
咱若用實際的數字橐入去算,假設

所以咱會當根據咱現在有的參數會當橐入去電場的數學表達式


這个圖用 Matlab 程式畫圖大概說明相位倒退的概念,事實的情形是無倒退遐 濟,振幅嘛無精差遐濟,毋過會當幫贊咱理解。
結論來講,根據咱頭前介紹的物理模型,考慮光的電磁波佮介質內底電子交互作用,電磁波經過每一重攏造成一滴仔相位倒退;閣介質會當看做是幾若重敆做伙,所以咱規个共看起來會感覺電磁波的波長佇介質內縮短去,毋過電場振動頻率無變,所以會感覺波速有放慢。而且這个相位倒退佮入射光頻率的關係咱最後有推導出來,所以光佇仝一个介質內底,無仝頻率(色緻)的光速度無仝。
參考資料:
- YouTube, 3Blue1Brown "Why light can “slow down”, and why it depends on color | Optics puzzles 3" https://youtu.be/KTzGBJPuJwM?si=ji7hJrqVnQGV6YUD
- 《The Feynman Lectures on Physics》
- David J. Griffiths, Introduction to Electrodynamics

















