本文針對馬達矽鋼片上的槽開口設計說明,以馬達生產的觀點來看如何規劃。
其實若以純馬達設計的觀點來說,槽開口是越小越好,以利於矽鋼片靴部吸收磁動勢;甚至取消槽開口,直接連在一起是極端的選擇,但需注意一下靴部漏磁的比例。因此槽開口的設計主要就是生產考量,更精準的說法,就是為了讓漆包線圈能順利通過槽開口進入槽內;當槽開口越大,生產者就越輕鬆。顯然這兩者是互相對立的關係,找出中間協調點,就是馬達設計者的工作了,因此了解馬達生產的必要條件,才能準確的抓出槽開口的尺寸。而槽開口向內或是向外,是分為兩種繞線辦法,因此在槽開口的生產評估又不太一樣,以下簡稱為內繞或外繞來作為區分。如下圖所示,左側就是槽開口向內,簡稱為內繞;右側就是槽開口向外,簡稱為外繞。

由上述可知,槽開口主要是用於馬達繞線,因此最關鍵的要素就是漆包線的線徑尺寸。內繞目前採用入線式及針嘴式繞線兩種製程,入線式的槽開口尺寸需求會小於針嘴式的,因此本文以針嘴式的計算評估為主。
針嘴式繞線如下圖所示,最明顯的特徵就是會有一針嘴治具伸入馬達槽內,引導漆包線圈進行繞線,代表槽開口必須讓繞線針嘴可以進入。詳細的針嘴完整尺寸計算,可參考前文;而槽開口的尺寸計算如下所列,單位都為公釐(mm),其中Sop為槽開口尺寸,Wd為漆包線直徑。


其中1.6這係數,主要是漆包線在繞線機內,並非是單純的直線移動,往往會有彎角、旋轉、折曲等情況,因此要保留給漆包線的空間需大於線徑尺寸,才不會使表層的絕緣漆層與金屬磨損,導致馬達絕緣不良燒毀的情況。額外增加的1mm主要是繞線針嘴的壁厚,至少單邊要維持0.5mm才能維持最基本的強度需求。
外繞則是讓漆包線順者繞線模頭滑入槽內的概念,是一種槽滿率較高且繞線速度較快的方式;但由於漆包線是滑入的,會有漆包線撞擊模頭後彈跳的機會產生,因此連旁邊的非繞線矽鋼片部位都要進行遮蓋保護,避免漆包線撞到矽鋼片造成損傷。

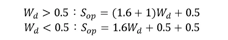
外繞比較特別的一點,是在模頭的部份;因漆包線圈會滑經過模頭遮蓋矽片的部份,此處最小的厚度為0.5mm;對於細線而言,這0.5mm會類似溜滑梯一般的滑順,不用擔心任何問題,但對粗線而言,就如同刀刃一般,會割傷甚至切斷漆包線。因此在槽開口的計算時,會以0.5mm做一個分界點,採用不同的計算式。

上列數學式代表,模頭中遮蓋矽鋼片的尺寸會落在0.5~Wd之間。而數學式中最右側的0.5mm則是非繞線部份的矽鋼片遮蓋尺寸;其實繞線速度慢且繞線機的線架張力拉的夠緊時,漆包線圈並不會彈跳,可以不用安裝此遮板。但在馬達生產時,往往希望能擴大產量,繞線的速度調快後,漆包線圈的不穩定性會增加,就需要遮板的安全保護,因此設計時最好還是考量進來比較保險。
重點整理:
設計者要理解生產要素,才不會讓馬達變成藝術品。
#可擔任業界顧問、講師
#個人經營歡迎贊助
馬達技術傳承計畫
想要馬達的技術嗎?想要的話可以全部給你,去找吧!
我把所有的知識都放在那裡了。



















