導數 f’ 對 f 的影響?
反映函數 f(x) 的斜率與變化趨勢,若函數 f(x) 在定義域內某區間 (a, b) 滿足:

極大值、極小值
- 局部極大值:若在某區間內,f(c) 大於附近所有 f(x),則稱 f(x) 在 x = c 有局部極大值。
- 局部極小值:若在某區間內,f(c) 小於附近所有 f(x),則稱 f(x) 在 x = c 有局部極小值。
- 絕對極值:在定義域內,f(x) 的最大與最小值。
二次導數 f'' 對函數 f 的影響?
反映函數的凹向性,一個函數圖形彎曲方向,通常可分為凹向上或凹向下兩種。若函數圖形 f(x) 在區間內可微分,過某點做一條切線,並且其二階導數 f''(x) 存在,則。

反曲點
反曲點的定義是一條連續曲線由凸轉凹,或由凹轉凸的點,也可以說在那一點左右兩側的凹向性會不同。
函數極值的求法
- 求導函數 f'(x)
- 找出 臨界點(f'(x) = 0 或不存在的點)
- 使用一階或二階導數法測試:
- 一階導數法測試:根據f'(x) 兩側符號變化決定是否為臨界點
- 二階導數法測試:若 f''(c) > 0 則是極小值;f''(c) < 0 則是極大值
- 若為封閉區間,需同時考慮端點,與臨界點一起比較 f(x) 值,找出絕對極值。
- 最後要注意,f'(a) = 0 代表 f(x) 在 x=a 處有水平切線,並不一定代表 x=a 處一定有極值,須利用左右兩側的增減情形判別。
練習題

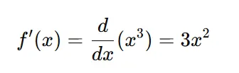
Step 1:一階導數

Step 2:找出臨界點(令 f′(x)=0)

所以 x=0 是臨界點
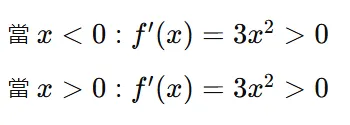
Step 3:根據f'(x) 兩側符號變化判別
這邊比較特別,二階導數有一些Case存在,若

這種情況下,二階導數法將失敗,無法判斷出來是極值。
其中

這種情況下我們可以說導數有「重根」。
好,所以本題我們必須使用一階導數法

導數在 x=0 左右兩側都為正 → 沒有變號
Step 4:最終結論:

反曲點的求法
若要求反區點,其概念跟上面很相似,若該曲線圖形的函數在某點的二階導數為零或不存在,且二階導數在該點兩側符號相反,該點即為函數的反曲點,要注意,有些函數圖形在 f''(a) = 0 並不一定代表點 f(a, f(a)) 一定是反曲,須利用左右兩側圖形的凹向性來判別。
練習題

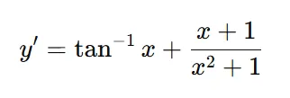
Step 1:求導數

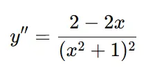
Step 2:求二階導數

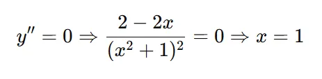
Step 3:解二階導數為 0

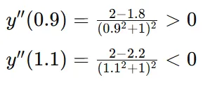
Step 4:測試兩側凹向性

所以:y'' 在 x=1 處由正變負,確實是反曲點。
Step 5:求對應的 y 值

故最終答案:

函數圖形的描繪
好,最後我們其實可以利用上面的知識,將給定的 f(x) 畫出相應的函數圖形,以下示範:
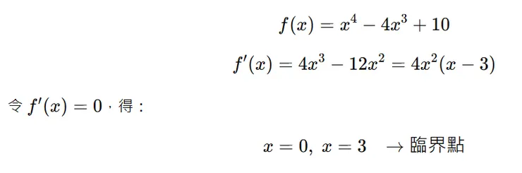
例如,求:

Step 1:求一階導數

Step 2:求二階導數

Step 3:列表觀察符號變化

Step 4:根據表繪製函數圖形


本頻道持續更新中(內容涵蓋前端程式設計入門、大學必備程式設計入門、電子系專業課程入門、數學微積分題解)如果身旁有相關科系的學生,不妨推薦一下喔~
相信這裡會是家教或線上課程之外,高中、大學生系統性綜合學習的好選擇。
最後感謝您的觀看!



















