在資產配置裡面,最重要的不是挑選個股,而是進行資產管理的能力,我們常花費大量時間研究買什麼,但鮮少深入探討買多少以及如何管理。而這支影片推薦的原因在於 他告訴你如何管理資產並且說明為甚麼這些管理能力如此重要,並幫助我們進行深度的思考。可以說這支影片體現了資產配置最精華的地方,也是大家評判一位好的基金經理人最看重的能力。
1. 投資組合的核心:部位調整(Sizing)
投資組合建構本質上就是一個「比例分配」的問題。即使你選中了績優股,如果部位配置不當,也無法發揮其價值。- 關鍵思考:你的目標回報是多少?你能忍受的最大損失(Loss Tolerance)在哪裡?
- 時間維度:短期(季/年)與長期(十年以上)的投資策略截然不同。對於永續經營的機構(如大學捐贈基金)而言,首要任務是對抗通貨膨脹並維持穩定的支出(Spending Rule)。
2. 再平衡:市場中「唯一的免費午餐」
講師重申了一個經典觀點:多元化(Diversification) 配合 再平衡(Rebalancing) 是投資中唯一的免費午餐。
- 機制:當資產 A 大漲而資產 B 下跌時,資產 A 的權重會自動增加。透過定期再平衡,投資者被迫執行「高賣低買」。
- 實例:在完美負相關的資產中,即使單一資產兩年回報為零,透過再平衡,投資組合仍能產生複利收益。
3. 波動率不等於風險:引入 G/L 比率
現代投資組合理論(MPT)常使用「波動率(標準差)」來衡量風險,但這在實務上有其局限性。
- 波動率的誤區:波動率無法區分「好的波動(大漲)」與「壞的波動(大跌)」。
- 預期增益與損失(G/L Ratio):講師提倡使用預期增益(Expected Gain)與預期損失(Expected Loss)來重新定義風險。
- 凱利公式應用:將 G/L 比率轉化為具體的部位比例,能更精確地在保護下檔風險的同時,最大化長期增益。

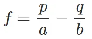
凱利公式
- f : 最佳投資比重
- p : 勝利概率
- q : 失敗概率 (q = 1-p)
- a : 失敗時損失率
- b : 勝利時收益率
4. 市場行為:群聚效應與冪律分布
市場並非總是理性,它更像是一種「自組織」的群集行為,類似鳥群或蝙蝠群。
- 群聚效應(Crowding):當投資者開始模仿彼此、對市場觀察產生高度同步反應時,泡沫便隨之而來。當系統變得過於同步(Order Parameter 趨近於 1),崩盤風險便大幅增加。
- 冪律分布(Power Law):社會與金融現象往往不遵循常態分布,而是「贏家通吃」。這解釋了為什麼 20% 的資產往往佔據了 80% 的利潤,以及為什麼有些「超級代理人」(如聯準會 Fed)的影響力遠大於普通投資者。
建立個人的投資框架
- 認清下檔風險:比起波動率,你更應該關注 預期損失。
- 部位優於標的:再好的標的也需要正確的比例配置。
- 理解行為慣性:關注市場是否過度群聚,並留意「超級代理人」如 FED 的動向。
在品質價值投資的道路上,理解這套組合管理邏輯,將能幫助我們在市場波動中保持冷靜,專注於長期資產的增長。
影片鏈結
https://www.youtube.com/watch?v=o7OnkMdmjLg




















