「一一得一;一二得二;……;九八得七十二;九九得八十一。」孔老師帶領著小朋友念九九乘法表。
唸完之後,孔老師向小朋友發問:「上次老師補充過在中國很早以前就已發明九九乘法表,有沒有人要幫大家複習一下的。」學生把手舉得高高的,並喊著:「我!我!老師,我知道。」
「小穎舉得最高,小穎來回答。」孔老師指著其中一位小朋友說。
小穎得意的說:「在春秋戰國時代,也就是「孔」老師您生長的那個年代,……。」講到一半同學都笑成一團,因為他們知道小穎又在捉弄老師了。
孔老師不以為意的說:「要是我是孔老夫子,那各位不就是七十二弟子。小穎那你可就是那調皮的『子路』,現在可否請『子路先生』正式的回答問題。」
「在春秋戰國時代,民間已經流傳著『九九歌』供大家來記憶。九九歌就是我們現在所背誦的九九乘法表。」小穎被孔老師消遣後,很正式的回答。
孔老師說:「沒錯!答得很好,在春秋戰國距離現在已經有兩千多年,當時就已經有九九乘法表,各位同學要珍惜這美好的文化資產。至於要不要將九九乘法表背下來,老師不硬性規定,但是同學要了解它是如何被製造出來的。」
「喔!耶!不用背耶!」聽到孔老師說不用背九九乘法表,同學們都很興奮。
學完加減乘除四則運算,小穎和他的同學們準備學習有關四則運算的應用題。
小安對小穎說:「現在學的應用題,我覺得好難喔!但是你好像覺得很簡單。」
小穎有點驕傲的回答:「這是一定的啦!我的腦筋很靈活,不像你是死讀書。」
接著小穎就說得比較小聲些:「但是我的計算比較有問題,常常會算錯,這一點我還要多跟你學學。」
上課鐘響後,孔老師走進教室向同學說:「各位同學早!假日有去哪裡玩嗎?星期六我帶孩子到科學教育館,裡面有一個數學專區,有很多好玩的數學小遊戲和數學名人介紹。今天上課的內容也是一個歷史名題。」
孔老師邊講邊將題目寫在黑板上:「有一個籠子裡面有鷄和兔子,若小明數了一下籠子內總共有10隻動物,且有26隻腳,請問雞與兔子各有多少隻?」
等同學都抄完題目,孔老師就向同學提問:「各位同學知不知道一隻雞有幾隻腳;一隻兔子有幾隻腳?」
小穎捉到機會又開始要搞怪:「老師我知道,我曾經在電視上看過有一隻雞,牠有三隻腳,牠跑得比一般的鷄還要快。」
「你別亂說,怎麼可能有三隻腳的鷄,而且如果真的有的話,多一隻腳跑起來不是怪怪的嗎?怎麼可能比較快!」小蓉出面回應。
孔老師接著說:「同學不要再爭論了!我們現在說的鷄和兔子都是一般正常的,那些三腳鷄或五腳兔,我們都不列入考量。」
「老師,哪我知道雞有兩隻腳,兔子有四隻腳。」小安舉手回答。
孔老師稱讚著小安:「很好!小安答得很好!那這一題要怎麼解題呢?各位有沒有想過如果這10隻動物都是雞的話,那情況是如何?」。
小蓉回答:「這樣的話,這10隻雞總共會有20隻腳,但是題目不是說腳數有26支嗎?老師,那多出來的6隻腳是怎麼回事?」
這時,調皮的小穎就說:「因為其中有6隻雞各有3隻腳。」此時全班的學生都將手指向「亂說」的小穎且笑成一團。
孔老師制止同學的吵鬧,並說:「小穎同學說對了一半,大家不要再吵了!」
同學臉上都一副茫然的樣子:「真的是這樣嗎?」、「怎麼會這樣!」
連小穎自己也都覺得不可思議,臉上浮出驕傲的笑容,並大聲說:「你們看,我就知道會有三隻腳的鷄,你們還不相信,而且還不只一隻,是有六隻喔!」。
孔老師接著說:「我的意思不是說有三隻腳的鷄,而是如果現在我們把一隻兔子捉入籠子內,且同時把一隻雞捉出籠子,這時籠子內的動物隻數是不是不會改變?」同學齊聲回答:「對啊!還是有十隻動物。」
「可是這時籠子內總共有幾隻腳?」孔老師繼續提出問題。
「老師,是不是22隻腳,因為一隻兔子有四隻腳,而一隻雞只有兩隻腳,因此會比原先多出兩隻腳。」小穎這次很正經的回答。
老師肯定的回答:「沒錯!現在請各位同學看一下黑板上老師所劃的表格,現在請兩位同學上台來完成此表。」孔老師劃完後,指著黑板的表格說。
「今天是4月28日,那就4號和28號同學上台。4號寫「動物數總合」那一欄;28號寫「腳數」那一欄。」孔老師宣布。
小萍和小安兩人都有點緊張的走到講台上,拿起粉筆分別在黑板上寫答案。他們完成後的表格如下:

孔老師等兩人回到座位後說:「我們來檢驗一下他們所寫的有沒有錯誤。」
經過一段時間,有些同學就開始發言:「沒錯!老師,他們寫得沒錯!」
孔老師接著說:「對!兩位同學寫得很好,由他們所寫的表格中我們可以知道幾隻兔子和幾隻鷄,可以讓籠子內的動物隻數保持10隻,而腳數是26支?」
小穎很快地舉起他的手。孔老師說:「請小穎來回答。」
小穎很確定的說:「3隻兔子和7隻雞的腳數總共為26支。剛剛一開始我們說如果有10隻雞,那只有20隻腳,所以如果用3隻兔子取代3隻鷄,這樣是不是就可以多出6隻腳(3×2=6),因此答案就是雞有10-3=7隻;兔子就有3隻。」
「各位同學,剛剛有聽清楚小穎的說明嗎?他說的很正確,答案是3隻兔子和7隻雞,請大家給他鼓勵一下。」老師才剛說完,小穎就被掌聲淹沒在教室內。
小安轉頭跟小穎說:「小穎,你好厲害喔!怎麼想得出來這麼難的問題?」
小穎得意的說:「因為我有一顆聰明的頭腦。這種簡單的問題難不倒我!」
時間過得很快,轉眼間小安和小穎,還有其他國小的同班同學都一起升上國中,兩人還是就讀同一個班級。
場景轉換到國一教室,任教於國中一年級的楊老師一走進教室,就在黑板上寫出這節課所要討論的題目:「有一個籠子裡面有鷄和兔子,若小華數了一下籠子內總共有10隻動物,且有26隻腳,請問雞與兔子各有多少隻?」
坐在位置上的小穎看見這熟悉的題目,已經蠢蠢欲動要舉手回答,剛把手舉高的同時,他就被老師的聲音給嚇回去了!
「各位同學,我們這個單元學習一元一次方程式,因此我們在解此題時需假設一個變數,你們想要假設雞或兔子為x呢?」楊老師大聲的說
小穎心想:「為什麼要假設變數呢?」剛要舉手跟老師說,就又被老師的話給打斷:「我們先假設雞有x隻,那請問兔子會有幾隻呢?」
小安很快的回答:「有10-x隻兔子。」
當小穎還在想為什麼要用變數的解法時,小安再度搶答:「老師,我算出來了,答案是x=7。」
楊老師說:「沒錯!小安答得很好,籠子內總共有7隻雞和3隻兔子。」
說完之後,楊老師瞄到小穎在發呆,就發聲警告:「小穎,上課專心點,這一題這樣解有沒有問題?下次上課要專心一點,不然老師就要扣你的平常分數。」
小穎欲言又止,不知該如何回應老師的問題。經過這次的經驗,讓小穎心中對數學充滿了一股存疑之心,這時他想起國小孔老師說過:「數學是一門簡潔的學科。」為什麼楊老師不用比較簡潔的方法,要用這看起來不起眼的方式解題。
帶著這樣的困惑,小穎的數學成績節節退步,小安看著這位同窗好友好像有著重重心事,就問他說:「小穎,我發現你最近上數學課精神都不是很好,我記得以前國小上數學課是你最快樂的時光,你還都會跟孔老師開玩笑。怎麼現在會這樣,是不是你有什麼地方搞不懂?」
小穎看著小安說:「我想是我自己想太多了,原本簡單的問題被我想一想後,都會變得很複雜。」
小安安慰他說:「你不要想那麼多嗎?現在我們在學一元一次方程式,把方程式按照題目的意思列出來,然後解方程式就可以了。我記得以前你都很會想問題,這些比較簡單的反而不會,這有點奇怪。」
雖然小穎聽著小安在說話,但心裡還是想著楊老師為什麼有簡單的方法不用。
小穎還未找到這個問題的解答,他就已經帶著這個疑問升上國二,沒有人能幫助他解除心中的疑惑。
數學成績每況愈下的小穎意興闌珊的坐在鬧烘烘的教室中,等著教師來上課,李老師一進教室就開始複習最近所教單元的內容:「各位同學,前幾節課我們已經學過有關解二元一次聯立方程式的方法,包括代入消去法和加減消去法。相信各位同學已經很熟練這兩種解題的方法。」
同學們都點點頭,小穎也跟著點點頭,只是在他的心中,對於這種一成不變且單調乏味的解題方法,感到似乎缺乏一種真正解決數學問題的樂趣和挑戰。
李老師接著說:「現在我們進入下一節,這一節主要是要利用前面所講的這兩種方法來解應用問題。現在我們就來看看第一個例題。」
當李老師開始唸題目時,小穎心中那股已熄滅很久的數學火突然又被點燃,李老師大聲地的將題目讀出來:「有一個籠子裡面有鷄和兔子,若小欣數了一下籠子內總共有10隻動物,且有26隻腳,請問雞與兔子各有多少隻?」
此時,小穎心中的那把「數學火」支持他舉起手來要回答這個問題,但李老師似乎沒有看到小穎所舉得高高的小手,繼續他的講課:「本單元要利用兩元一次聯立方程式來解題,因此同學們,我們可以作怎麼樣的假設來幫助解題。」
「老師我知道,假設雞有x隻;兔子有y隻。」小安舉手回答。
「很好!我們就假設雞有x隻;兔子有y隻來解題」李老師說。
小穎一聽到小安回答要假設兩個變數才能解此題,心中充滿了更大的問號:「國小孔老師教我們利用巧妙的技巧就解出來的題目,去年楊老師要設一個變數才能解,現在李老師要用兩個變數才能解,為什麼會這樣呢?我真的是在學國中數學嗎?為什麼小安這麼不長進,把以前孔老師所教的全部都忘光了!」
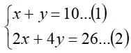
「各位同學,我們知道有兩個變數,就需要列兩個方程式來解題,請問這兩個方程式要如何列出來?」李老師向學生們拋出問題。
數學成績一向不錯的小萍很快的回答:「老師,我知道怎麼列式子,可以利用動物的隻數總合與腳的總數來列出這兩個式子。」
「沒錯!我們就利用這兩個條件來列式。請小萍上來幫我們寫。」老師一邊回答,一邊走到講台旁讓小萍可以站在講台中間,在黑板上寫出式子:

小穎繼續舉著他愈來愈無力的的手,希望老師可以看到,但李老師專注於黑板上小萍所寫的式子,等小萍回到座位後,就繼續他的講解:「小萍寫得很好,第(1)式是利用動物隻數總合所列的式子;第(2)式是利用腳數總合所列的式子。我們就利用這兩個式子來解題,接著我們可以利用代入消去法或加減消去法解此題,在此,我們就利用代入消去法來解此題。」
李老師在黑板上邊寫邊說明:
「由(1)可得x=10-y…(3),將(3)帶入(2)可得
2(10-y)+4y=26,整理後,可得2y+20=26
最後解得:y=3,帶入(3)可解得:x=7。」
李老師說:「這樣的解題過程同學有疑問嗎?」
說完後,李老師終於看到小穎舉高的手,就問:「小穎,你有什麼問題嗎?」
已經有點精神不濟的小穎被問得有點突然,讓他不知所措,趕緊把手放下。
「上課專心點,不要發呆!」李老師向小穎說。
這時小穎睜大眼睛望著黑板,雖然他的雙眼睜得大大的,卻無心於課堂上老師的上課,他現在只在乎心中的想法:「why?why?why?為什麼要這麼麻煩,用一個變數解題好像已經大才小用,現在又要用兩個變數才行,怎麼會這樣呢?」
下課鐘響,小穎的感覺非常落寞,似乎全世界的人都拋棄他一般,沒有人想要聽他說話,沒有人知道他心中的那把數學火已經再度被冰入冰庫,且是放在北極的冰庫,再也不能被點燃。
小安看到小穎無精打采的坐在椅子上就走過去低聲的對他說:「我發覺你好像每次數學課遇到應用問題時,都會覺得特別的沮喪,你以前在國小是解這種應用問題的高手,怎麼現在會這樣呢?」
小穎對於這個困惑一直沒有跟別人講,現在他覺得如果再不找人談談,他可能會發瘋,於是他向小安說:「你還記得以前國小孔老師教我們類似的應用題時,總是利用引導的方式讓我們思考題目的意義,然後把答案一步一步的『建構』出來,當時我就覺得數學好好玩,是一門很深奧的學科。可是,你還記得國一時,楊老師教一元一次方程式時,什麼題目都要用一個變數來解,我就覺得很奇怪;現在李老師是什麼題目都要兩個變數來解,我實在想不透,為什麼他們教的方法都這麼沒有創意和思考性,好像只是在作一些機械化的計算。」
小安聽得有點疑惑:「我沒想那麼多耶!老師教什麼,我們就利用什麼方法來解題,想那麼好像只是增加自己的困擾?何況把老師現所教的學好已經很困難了,你還想那麼多!」
小穎不想再跟小安多講,他覺得小安是典型的書呆子,只會讀死書,但是他又想到自己連老師所教的都沒學好,即使自己腦筋比較靈活,那又有什麼用呢?
上課鐘聲響起,小穎趕緊往洗手間衝,小安雖然也想上廁所,但已經是上課時間他只好忍一忍。
小穎在回教室的途中,看到李老師正要走到別的教室上課,趕緊跟他問好。李老師把他叫住:「小穎,我看你最近上課都心不在焉,待會下課到辦公室來找我,我想跟你談談。」
此時小穎心裡有兩股感覺交錯,其一是「害怕」的感覺,要跟老師「談話」,這其中一定是老師覺得我有問題吧!另一種則是「終於有人想試著了解我的內心想法」的感覺。小穎低著頭邊走邊想,當他抬頭往前一望,看見國文老師正準備走進教室上課,他趕緊往教室跑。
上課時,小穎心裡一直在想著待會李老師不知要跟我說什麼,而自己該如何回應呢?整節課就在這樣的空想下度過,結果他也沒獲得什麼結論。
下課鐘聲響起,小穎等不及的想往外衝,在國文老師開始整理東西時,小穎早已跑出教室,往李老師的辦公室衝。
在辦公室門口,小穎喊了一聲:「報告」,就直接走到李老師的辦公桌旁,等待李老師的「訓示」,但出乎小穎的猜測,李老師開口的第一句話是:「說說你最近所遇到的困境是什麼?」
小穎膽怯的回答:「老師你是說什麼困境啊!我……。」
小穎未講完,李老師就說:「我覺得你應該是一位具有數學頭腦的孩子,怎麼數學成績總是拉不上來。」
小穎此時心中有點感動,在心裡想著:「終於有老師了解我了!」
李老師看見小穎接不上話,就說:「說說看你對數學的感覺。」
「我覺得數學是一門訓練思考的學科,而不只是作一些簡單的加減乘除的運算。」小穎此時很踏實的回答。
「哪你覺得我們現在在學的一元二次方程式又如何?」李老師繼續問。
「我覺得這個單元有點無聊,好像都在作一些計算而已,一點思考性都沒有,連應用問題也是。」
「是這樣嗎?那老師出一題讓你試看看:『有人養了一大群雞和兔子,有一天他想清點動物的數量,發現雞和兔總共有1000隻,總共腳數為3024支,……。』」
李老師題目未念完,小穎就提出他的疑問「老師,這一題不就是你上一節課所講的問題嗎?只是……。」
「只是怎樣!是不是只有數字有所更改啊!」李老師直接點出小穎的疑惑。
「對啊!只有數字變大而已!」
「那你要不要試著解看看。」李老師剛把話說完,就看到小安走到辦公室找另外一位老師。
李老師就向另一位老師說:「王老師,小安先借我一下,我要請他幫個忙。」
「沒關係,如果你有事找他,那就讓他先到你那裡去。」王老師對著李老師說完後,就轉頭跟小安交代幾句,就讓小安到李老師那裡。
小安走到李老師旁邊,看到下課就一溜煙不見的小穎正彎著身體在李老師的辦公桌上算數學。
「小安,你也來幫老師算一下這個問題,題目我請小穎告訴你。」
「小穎,你把剛剛的題目跟小安說一遍。」李老師向正努力解題的小穎說。
兩分鐘過後,小安把答案拿給李老師:「老師,你看一下這樣對不對。」
此時小穎還在紙上寫著一大堆數字。
李老師看著小安所寫內容:「沒錯!小安你寫得很好。你可以先離開了,等會上課你幫小穎請個假,告訴任課老師小穎在我這裡。」
小穎這時抬起頭來,有點落寞的看著李老師和小安,目送小安離開辦公室。
「小穎,把小安剛所寫的拿去看一下。」
小穎把小安所寫的內容看得很仔細,紙張上只寫著短短幾行:
「假設雞有x隻,兔子有y隻

將(1)×2可得2x+2y=2000…(3)
(2)-(3)可得2y=1024,則y=512
代入(1),可得x=488 答:雞有488隻,兔子有512隻。」
李老師向小穎詢問:「你看完之後,有什麼心得?」
「他不過是利用二元一次聯立方程式的方式來解題,這樣制式化的解題方式沒什麼了不起!」小穎有點不屑的說。
「可是利用這個方法至少可以很快算出答案,雖然比較沒創意,但是如果每次解題都要有創意,那恐怕就不是在學數學,而是在學創意學了。」李老師回答。
「老師,可是你不是也說過數學是要訓練我們思考的能力,可是我看不出這樣的解法有任何的思考性。我記得我們國小老師在解類似的問題時,總會引導我們深入觀察題目的意涵,讓我們一步一步的把答案建構出來。」小穎愈講愈激動。
「那老師可否請問你一個問題:『你們老師有要求你們背誦九九乘法表嗎?』」李老師口氣平穩的說。
小穎回想一下小學上課的情況,就回答說:「好像沒有耶!可是我們老師曾告訴我們有關九九乘法表的歷史,和如何建構出九九乘法表的方法。」
「我終於了解你的問題所在。你就是被『建構式教學』所建構出來的孩子,難怪會這樣!」在聽完小穎的回答後,李老師說。
小穎這時反而一頭霧水,不知李老師所說的話代表什麼涵義。
李老師向小穎說:「像九九乘法表這種早在幾千年前就已經發現的東西,或是像方程式也早已在中國或西方數學中出現的東西,這些在數學的學習過程中,我們都可以把他們當成是工具來使用。」
「簡單舉個例子,如果你要去和別人打仗,現在有以下兩種情況讓你選擇,你會選擇哪一種。首先我會教你如何製造和使用各式各樣的槍械,第一種情況是我給你很多的材料,讓你可以在戰場上製作這些槍械。第二種是讓你可以帶著這些槍械上戰場。如果現在你的敵人已經在你的眼前。請問你要如何抉擇?」
「當然是選第二種,我可以選擇適合的武器來對付眼前的敵人;選第一種的話,可能材料還在組裝過程中,就已經被敵軍打死了。」小穎堅定的回答。
「那就對了!解決數學問題就像是上戰場一樣,你們國小老師給了你們很多的材料,例如數字的乘法,希望你們把槍組裝起來,就像是記得九九乘法表的內容,然後去奮勇殺敵,就是解數學問題,可是往往槍還沒組裝起來就英勇犧牲了!而我希望你們是可以帶著槍上戰場的,在戰場上馬上就可以用;就像把九九乘法表記下來這樣在考試時就可以直接使用,而不用去思考9×9到底會等於多少?而且你們要面對的是一場跟時間競賽的『決鬥』,即使在解題時沒有時間的壓力,將應該背下來的東西記下來,也可以幫你節省很多時間,可以有更多的時間去思考更多的解題方式。不是什麼事都需要我們自己親自去從頭到尾參與或製作,才能了解其中的涵義或使用方法,這樣有再多的時間也不夠用。這樣你可以了解嗎?」
小穎想了一會,有點恍然大悟的回答說:「老師,那你的意義是說,這些槍,不是啦!我是說這些前人已經發明的數學工具或是一些簡單的數學性質都需要記下來,然後去使用它們來解題。」
「沒錯!現在你已經有點開竅了,以我們剛剛的鷄兔同籠的問題來說,除了用二元一次聯立方程式來求解之外,還有什麼方法?」
「我記得國一時,老師是利用一元一次方程式來解答,國小老師沒有假設任何變數就算得出來了!」
「那你覺得哪一種方法比較好?」
「我一直覺得國小的方法比較具思考性。不用什麼數學工具就可以『想』出來了,不過要是數字大一點就比較難想了。現在教的方法好像……。」
「好像怎樣!是不是不管數字多大都可以算,而且可以很快算出來。」
「對啊!可是……。」
「可是你又覺得這樣的方法太過於制式化,只是在作簡單的運算!其實利用『方程式』來解決數學問題已經存在很久,我們學習任何一件事情如果已經有前人幫我們確立好一些基礎的知識,那我們就可以在此基礎下,建構我們所要學習的事物,這樣學習起來才會事半功倍,不是凡事都要親自體驗過才算,如果讓你算幾百題鷄兔同籠的問題,我想以你的聰明才智最後一定也會歸納出類似方程式的方式來解決這類的問題。因為數學是一門歷史悠久的學科,已經有很多人在這裡耕耘,且開出了很多美麗的花和很大棵的樹,我們後人可以欣賞這些漂亮的花和在綠蔭底下乘涼,在這一些基礎上來訓練我們個人自己的思維,從而建構屬於我們自己的一套數學學習方式,而不是凡事從頭開始,慢慢地自己辛苦的建構,如果真的是這樣,那就不會有文化的存在。」
「老師,你後面愈講愈深,我已經快聽不懂了,你的意思是不是就像牛頓所說:『我之所以比別人偉大,是因為我站在許多偉人的肩膀上。』」小穎把他剛剛聽完後的心得說出來。
「對!就是這樣。在學習數學的過程中,我們會學到很多所謂的工具、公式或性質甚至是一些簡單計算的結果,例如九九乘法表,這些東西都是來幫助我們學習的,如果可以記得愈多,那在解題時就可以有用各種不同的方式來解題。但是有一點要特別注意的就是,不要被這些工具給侷限住,我們同樣以打仗為例,如果你帶的武器愈多,那是不是面對各種不同的敵人時,可以打敗敵軍的機會就愈大,但可能有一種情況就是你不知道該用哪一種武器致敵;或是,如果你發現所有的武器都沒有辦法制敵時怎麼辦,這時只有靠你的一顆腦袋了。這個時候只要能打敗敵軍,用哪一種方法都可以,只是可能有一些小小的地方有差異,例如時間或方法的創意。就好像我們在解雞兔同籠的問題,你舉出有三種方法可以解題,到底哪一種算法才是『正確的』,其實三種都是正確的解法,只是我們在學習數學的過程中,往往太注重所謂的『正確的解法』,這往往只能學習到數學的皮毛,我們應該要學習的是真正數學的內涵。」
「老師,那你的意思就是說我們不要被這些數學工具給侷限住,適當的時機可以利用它們來解題,但不一定非用不可。」
「小穎,你想得愈來愈通了,一個數學問題常常有很多不同的解法和不同的數學思考方向,例如上述雞兔問題的三個解法,就可以看出解題者的思考邏輯,利用第一種不需要變數的解法的人是屬於比較有思考性的人,如果你在解題時都是利用類似的方式,那以後你可以成為真正的數學家或思想家,而利用第三種需要兩個變數的方法的人,算是比較務實的人,就好像小安一樣,如果你在解題時,是比較偏向利用這種方式解題,那你以後比較適合擔任比較制式化操作的工作。」
「老師,你是說我會成為一位數學家。」
「你喔!腦筋太死了!常常走進死胡同內而不自知。希望這次跟你溝通後,你可以了解如何來學習數學。你還有什麼疑問嗎?」
「沒有了!老師我以後不會再亂想了,我會拿起各種『槍』來奮勇『殺敵』,不會再採用『肉博戰』。」小穎回答。
「好吧!那你回教室上課吧!以後就看你的了!加油!」李老師鼓勵小穎。
小穎走出辦公室,並向李老師說:「謝謝老師!」
李老師似乎看到小穎頭上好像正燃燒著一把剛被點燃的數學火離開辦公室。
「李老師,你還真有心,花這麼多時間來開導學生。」坐在隔壁的黃老師說。
「沒有啦!盡一點自己的心力而已,希望學生能有所成長。」李老師回答後,看著牆上的一幅匾額,上面寫著「因材施教」。
























