回顧加權投票賽局
「加權投票賽局」(Weighted Voting Game)通常用於分析由多個「玩家」(可以是政黨、董事、股東等)組成的投票情境。每個玩家擁有特定的「權重」(weights),例如政黨的席次或股東所持股份。
- 在這種賽局中,會設置一個「門檻」(quota),只要某個子集合(coalition)的權重總和達到或超過門檻,即視為「獲勝聯盟」。
- 加權投票賽局的核心問題在於:哪些玩家對最終是否能超過門檻擁有關鍵影響力?我們可以透過各種「權力指標」來度量此種影響力,而 Banzhaf 指數便是其中常用的一種。
介紹 Banzhaf 指數
Banzhaf 指數的中心思想如下:在各種可能的聯盟中,誰的加入會比較常導致「翻轉獲勝」,那我們就說誰的權力影響力較大。聽起來很抽象對吧?我們看實例:
從立法院的例子看起
目前來講,我國的立法院有三個黨團,這裡假設理想狀況,也就是三黨都是「團進團出」。總席次為 113 席,過半票數為 57 票,三黨團的人數分布如下:
- 民主進步黨黨團:51 席
- 中國國民黨黨團:54 席
- 台灣民眾黨黨團: 8 席
則此加權投票賽局可以寫成:

分別有權重

門檻為 q = 57
特徵函數為

我們對三個黨團分別分析他們「翻轉」的情況:
對於民主進步黨黨團來說:
若目前聯盟為空集合,加入前的效用為:

而民主進步黨黨團的加入會產生權重(票數)與效用

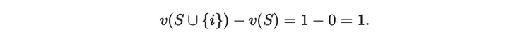
會讓聯盟產生 51 票,無法達到門檻 q = 57 ,因此效用仍然是 0 。沒有發生翻轉。
若目前聯盟為 { KMT },加入前的效用為:

因為他只有 54 票,無法達到門檻 q = 57
而民主進步黨黨團的加入會產生權重(票數)與效用

會讓聯盟產生 105 票,達到門檻 q = 57 ,因此效用變成 1 。發生翻轉。
若目前聯盟為 { TPP },加入前的效用為:

因為他只有 8 票,無法達到門檻 q = 57
而民主進步黨黨團的加入會產生權重(票數)與效用

會讓聯盟產生 59 票,達到門檻 q = 57 ,因此效用變成 1 。發生翻轉。
若目前聯盟為 { KMT, TPP },加入前的效用為:

因為他已有 62 票,達到門檻 q = 57
因為投票已經可以通過,此時民主進步黨黨團的加入已不會發生翻轉。故沒有發生翻轉。
總結來說,民主進步黨黨團在四種可能的聯盟中,會在其中兩次造成翻轉。
在此情況下,我們會說 Banzhaf 指數等於 2
我們來快速對其他兩黨團進行同樣的分析:
KMT (54 席) 的翻轉次數
- 其他玩家:{ DPP, TPP }。子集合如下:
- S = ∅:席次 = 0 < 57 → 輸;加入 KMT 後 = 54 < 57 → 仍輸 → 無翻轉
- S = { DPP }:席次 = 51 < 57 → 輸;加入 KMT 後 = 51 + 54 = 105 ≥ 57 → 贏 → 翻轉 +1
- S = { TPP }:席次 = 8 < 57 → 輸;加入 KMT 後 = 54 + 8 = 62 ≥ 57 → 贏 → 翻轉 +1
- S = { DPP, TPP }:席次 = 51 + 8 = 59 ≥ 57 → 贏;加 KMT 後 = 113 ≥ 57 → 仍贏 → 無翻轉
- 總計翻轉次數:兩次,Banzhaf 指數等於 2
TPP (8 席) 的翻轉次數
- 其他玩家:{ DPP, KMT }。子集合如下:
- S = ∅:席次 = 0 < 57 → 輸;加 TPP = 8 < 57 → 仍輸 → 無翻轉
- S = { DPP }:席次 = 51 < 57 → 輸;加 TPP = 51 + 8 = 59 ≥ 57 → 贏 → 翻轉 +1
- S = { KMT }:席次 = 54 < 57 → 輸;加 TPP = 54 + 8 = 62 ≥ 57 → 贏 → 翻轉 +1
- S = { DPP, KMT }:席次 = 51 + 54 = 105 ≥ 57 → 已贏;加 TPP = 113 ≥ 57 → 仍贏 → 無翻轉
- 總計翻轉次數:兩次,Banzhaf 指數等於 2
所以三者的 Banzhaf 指數都是 2

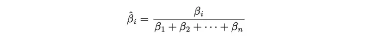
你也可以考慮正規化的 Banzhaf 指數,也就是同除一個數字,好讓三者加起來等於一:

從這裡你可以得到結論,雖然席次差距很大,但是因為要「過半票數」才能通過決議,所以 TPP 雖然席次很少,但是在 Banzhaf 指數的看法裡,其影響力與其他兩大黨是完全相當的。
正式的數學定義
令此加權投票賽局為賽局記為 G , N = {1, ..., n} 為玩家集合,並且對應的權重 w 、門檻 q 以及特徵函數 v 都設定好。
則(非正規化的) Banzhaf 指數定義如下

意思是對任一不包含玩家 i 的聯盟 S,若有發生翻轉,則特徵函數應該會呈現

若無發生翻轉,則特徵函數應該會呈現

或

而求和符號就會加總出翻轉的次數,也就是 Banzhaf 指數。
至於正規化的 Banzhaf 指數,就是在計算完畢所有的 Banzhaf 指數後,同除總和:

這樣一來所有正規化的 Banzhaf 指數其總和就等於 1,便於比較其「相對權力」大小。
Takeaway
- Banzhaf 指數著重「翻轉」的次數,強調在各種可能的聯盟(或隨機選擇)中,哪個玩家能使聯盟由輸變贏。
- 在加權投票賽局中,大黨未必擁有最高指數:如果大黨單獨無法過半,就仍然需要其他黨的支持,最終翻轉次數不見得「絕對超過」小黨。
- 小黨(如 TPP)有機會成為「關鍵少數」:只要能補足或左右臨界門檻,即使席次少,也有較高的翻轉可能。
- 具體計算能呈現真實政治現象:若現實中有更多政黨、無黨籍,需要更繁瑣的列舉或電腦程式,但概念相同,Banzhaf 指數仍提供一個看「誰最常扮演臨門一腳」的數量化工具。
Reference
Chalkiadakis, Georgios, Edith Elkind, and Michael Wooldridge. _Computational aspects of cooperative game theory_. Morgan & Claypool Publishers, 2011.a



















