在 Excel 中進行統計推論時,ZTEST 函數可用於針對樣本資料進行 Z 檢定,以判斷樣本平均數是否與假設的母體平均數有顯著差異。它回傳的是 右尾 P 值,適用於母體標準差已知的情境,常用於品質管制、實驗分析與假設檢定。
🔹快速摘要(語法、用途、常見場景)
- 用途:針對樣本平均數進行 Z 檢定,回傳右尾 P 值
- 語法:
=ZTEST(資料範圍, 母體平均數, [母體標準差]) - 常見場景:假設檢定、品質管制、統計推論、實驗分析、顯著性判斷
一、ZTEST 函數語法與用途
語法:=ZTEST(array, μ0, [σ])
array:樣本資料範圍μ0:假設的母體平均數σ(選填):母體標準差,若省略則使用樣本標準差估計- 回傳結果為 Z 檢定的右尾 P 值(機率值)
例如,=ZTEST(A2:A21, 100) 表示以 100 為母體平均數,對 A2:A21 的樣本進行 Z 檢定。
二、範例教學:五個基礎 + 五個進階範例
🔸基礎範例
範例一:使用樣本標準差進行 Z 檢定
=ZTEST(A2:A21, 100)
回傳右尾 P 值。
範例二:指定母體標準差進行 Z 檢定
=ZTEST(A2:A21, 100, 15)
範例三:搭配 IF 判斷是否顯著
=IF(ZTEST(A2:A21, 100)<0.05,"顯著","不顯著")
範例四:處理儲存格參數
=ZTEST(B2:B30, C1, C2)
C1 為母體平均數,C2 為母體標準差。
範例五:格式化輸出 P 值
=TEXT(ZTEST(A2:A21, 100),"0.0000")
🔸進階範例
範例六:搭配 AVERAGE 比對樣本平均
="樣本平均:" & AVERAGE(A2:A21) & ",P 值:" & ZTEST(A2:A21, 100)
範例七:批次檢定多組樣本(Excel 365)
=MAP(B2:B10, LAMBDA(x, ZTEST(x, 100)))
假設每列為一組樣本。
範例八:建立動態顯著性標記欄位
=IF(ZTEST(A2:A21, 100)<0.01,"高度顯著","一般")
範例九:搭配 CHOOSE 顯示解釋文字
=CHOOSE(IF(ZTEST(A2:A21, 100)<0.05,1,2),"拒絕虛無假設","無顯著差異")
範例十:搭配 NORM.S.DIST 反推 Z 值
=NORM.S.INV(1-ZTEST(A2:A21, 100))
回推 Z 統計量。
三、常見問題解答(FAQ)
Q1:ZTEST 回傳的是什麼?
回傳右尾 P 值,用於判斷樣本平均是否顯著偏離母體平均。
Q2:ZTEST 是否支援雙尾檢定?
不支援,需手動將結果乘以 2,例如 ZTEST(...) * 2。
Q3:ZTEST 是否需要母體標準差?
可選,若省略則使用樣本標準差估計。
Q4:ZTEST 是否支援整欄資料?
可以,搭配 MAP 或拖曳填滿即可批次處理。
Q5:ZTEST 是否適用於小樣本?
不建議,小樣本應使用 T 檢定(如 T.TEST 函數)。
四、注意事項與錯誤排除
- 資料範圍不可為空,否則回傳
#DIV/0! - 母體平均數不可為文字或空白
- 若母體標準差為 0 或負值,會回傳錯誤
- 適用於母體標準差已知或樣本足夠大的情境
- 若需雙尾檢定,請手動乘以 2 處理 P 值
五、延伸技巧與相關函數
若需要進行其他類型的假設檢定或統計推論,可考慮以下函數:
可以使用 T.TEST 函數 進行小樣本或母體標準差未知的平均數檢定,支援雙尾與配對樣本。
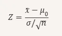
若需要計算 Z 統計量本身,可搭配 AVERAGE、STDEV.P 或 STDEV.S 自行計算公式:

若想反推 Z 值對應的 P 值或機率,可使用 NORM.S.DIST 或 NORM.S.INV 函數。
若需要進行批次檢定或自動化邏輯,可搭配 MAP 與 LAMBDA 函數建立自訂流程。
這些函數能與 ZTEST 組合成一套完整的「統計檢定 → 顯著性判斷 → 統計量計算 → 批次處理」流程,適用於報表設計、實驗分析與品質管制。
六、結語與延伸閱讀推薦
ZTEST 函數是 Excel 中專門處理 Z 檢定的統計工具,適合用在母體標準差已知、樣本足夠大的假設檢定情境。學會 ZTEST 後,你可以進一步探索:
- [T.TEST 函數教學]:小樣本與雙尾檢定的替代工具
- [NORM.S.DIST 函數教學]:標準常態分布的機率計算
- [MAP 函數教學]:批次處理與統計邏輯的動態技巧























