前言
在本專題先前文章《免費午餐,風險分散與幾何平均報酬》以及《無中生有或是槓桿損耗,指數與槓桿》中,貓貓藉由分散風險以及調整槓桿來個別地獲得收益,也就是兩種免費午餐。
此時,簡單的組合能否將兩份免費午餐組合成套餐?對此,貓貓試著將兩者組合並觀察可能的結構,意外地可以引入碎形。
雙份免費午餐
槓桿加上分散風險

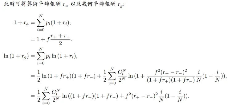
平均報酬

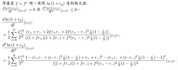
極大值

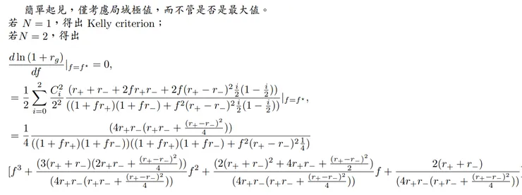
範例 N=1,2
在 N=1 時,簡單地回到凱利公式的概念,如《為什麼報酬未必越高越好?凱利公式提示》。而此時在 N=2 的情形,即可見到有意思的極值條件。


此極值條件,可以視作一元三次代數方程式,並有公式解。然而若以數值解常見作法,以牛頓法求解,則可能在起始條件設定上,面對碎形結構。
碎形
Newton's Fractal
對於 Newton's fractal,3Blue1Brown 的頻道給出了非常清晰的說明。影片中描述了牛頓法在代數方程求解的功能,並且視覺化的展示出牛頓法與 Newton's fractal 的關聯。
討論
本文中結合分散風險與調整槓桿的優點,並試著極大化幾何平均報酬。然而在過程中,僅考慮局域極值條件,而沒有仔細確認是否為極大值。不過局域極值條件顯然為局域極大值條件的充分條件,觀察幾何平均報酬形式顯然可知。
極大值問題僅在於求出極值條件的解後,哪一個解是最佳槓桿率?
此時顯然可以帶入數值比較。
當分散風險程度更高,使得極值條件更加複雜,以至於極值條件變為高冪次的代數方程。當冪次高於5,不存在公式解。此時牛頓法顯然派得上用場,給出適當的槓桿率。
若是隨機選定起始值,使得起始槓桿率落在碎形邊界上,此時由牛頓法迭代得出的槓桿率對於細微的起始值浮動非常敏感。也就是說,在採用相同假設模型,僅有起始值受浮點誤差等細小擾動,都可能導致截然不同的最佳槓桿率結論。
當跑遍每一種解,可以藉由比較每一種極值的解,挑出合理槓桿率。然而當起始值受經驗影響,像是以歷史最佳槓桿率為起始值,便可能使多空看法相當難以預測,可能得到任何可能的極值。貓貓認為這是理性地混沌。








