
至今為止,本文都使用代數的方式來討論微分,並以生活、科學中的瞬間變化率,如:速度等,對微分的定義做出詮釋。這一系列主題文章「函數微分的幾何意義」將分多集探討,用幾何角度來了解函數微分。本文章第一集將先引入代數和幾何的觀念;在概略介紹函數的圖形定義。
(一)代數與幾何問題本為一體
微分的定義具有豐富的幾何意義,這可以從「代數」和「幾何」的緊密關係開始談起。代數與幾何,雖然有時對問題敘述不同,實際上本質相同,可以互相轉換。例如:許多現代數學家研究古希臘的三大幾何難題,如:三等分角問題時,就將幾何轉換成了代數問題。這個例子可能離讀者有些距離,實際上從國中數學引入直角坐標系來描述實數平面開始,就可以看到代數和幾何問題的緊密結合。例如「ax+by+c=0」(a, b, c, x, y都是實數),是一個二元一次方程式。二元一次的意思是有兩個未知數,且未知數的最高次方為一次。二元一次方程如果撇開圖形來看,我們不難觀察到,有無限多個數對(x, y)都可以滿足ax+by+c=0,無限多個數對(x, y)在直角坐標上變成無限多個點,而這無限多個點連起來會形成一條直線。而形如x^2+y^2=r^2(r>0)(x, y, r是實數)的方程式,畫在座標平面上,則會形成半徑為r的圓形。代數方程式,對應到平面圖形的例子數不勝數,讀者可見文章附上國高中內容中,常見的二次曲線、直線圖形的方程式與圖形實例


代數和幾何問題像是透過兩個角度來觀察同一樣物體或人,雖然會因爲角度不同,而看到不同的面貌,形狀不盡相同。因為背後的本質都是數學,所以時常切換兩個角度,對能對數學有更深了解,這就如同蘇東坡詩中所寫的「橫看成嶺側成峰, 遠近高低各不同。」 雖然都是同一座山,但從不同角度卻會看到不同的景象。
實例1:二元一次方程式的圖形
方程式:


圖形:直線
實例2:二元二次方程式的圓形
方程式:

圖形:圓形

實例3:二元二次方程式的圖形
方程式:


圖形:橢圓
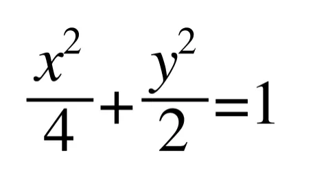
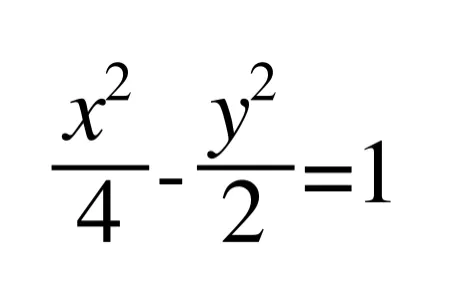
實例4:二元二次方程式的圖形
方程式:


圖形:雙曲線
(二)f(x)函數的二維平面圖形定義
要將任一個函數f(x)轉換成平面圖形並不困難。從數學定義上來看,直角座標平面上有x, y軸即原點o,軸可以無限延伸。而(x, y)就是直角座標上的一點,要將函數圖形畫出來,可將函數圖形拆成一個個點相接結合而成,就如日常生活中繪圖一樣。
當x為屬於f函數的定義域D,可帶入函數f,得到一個值f(x),通常數學家將f(x)當作y值,故寫作y=f(x)。若將定義域中的數,和其分別對應的f(x),都找出來,會形成數對(x, y)的集合,可表示如下:

想像將這集合中的數對一一描點對應到座標平面上,此時就形成了函數圖形。實務上,電腦和手繪當然不可能找出全部函數的點,逐一點到紙上,在手繪時會先了解該函數的特性和特徵,找出重要的點在用平滑曲線連接即可,而畫的範圍也是有限的,可能只畫接近原點幾個單位處的圖形,電腦同樣也會用估算的方式繪圖,只是因為運算速度快,所畫出的圖形可以十分精準。




















