前導
比較器是一種用來比較兩個二進位數字 A 和 B 的電路元件,根據它們的大小關係輸出:
- Y0:(A > B)
- Y1:(A = B)
- Y2:(A < B)
1 位元比較器
其真值表如下:
對應邏輯式:

最後把電路圖接好,其比較器符號為:

2 位元比較器
如果把真值表畫出,會太麻煩,所以我們僅從邏輯推導即可:
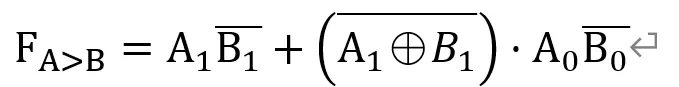
- A > B 的情況: 兩種情況: (A1 > B1) 或者 (A1 = B1 且 A0 > B0)。

- A = B 的情況: A1 = B1 且 A0 = B0。

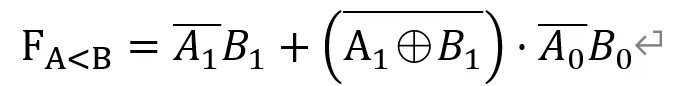
- A < B 的情況: 兩種情況: (A1 < B1) 或者 (A1 = B1 且 A0 < B0)。

很簡單,只是單純邏輯推導,最後把電路圖接好並封裝,其比較器符號為:

4 位元比較器
其實也不會太複雜,概念跟上面雷同,不過為了防止符號太複雜繁多,我們設:

- 將A、B進行XNOR,可判斷該AB在該bit是否相同,然後也是用類似暴力展開的方法來得出式子
最後列出三個條件的布林代數式:
A = B 的情況

- A > B 的情況

- A < B 的情況

就這樣而已,其內部電路我就不畫出來了,而有關符號的部分,可以上網查: 7485 IC。
本頻道持續更新中(內容涵蓋前端程式設計入門、大學必備程式設計入門、電子系專業課程入門、數學微積分題解)如果身旁有相關科系的學生,不妨推薦一下喔~
相信這裡會是家教或線上課程之外,高中、大學生系統性綜合學習的好選擇。
最後感謝您的觀看!





















